Specialioji reliatyvumo teorija  

Taip pat skaitykite  Bendroji reliatyvumo teorija  

Specialioji reliatyvumo teorija (SRT) aprašo judėjimo, mechanikos ir erdvės-laiko santykius judant įvairiais greičiais, tame tarpe ir artimais šviesos greičiui (kurį pirmąkart 1676 m. išmatavo O. Riomeris). Ji apibendrina Galilėjo reliatyvumo principą: kad bet kuris tolydus judėjimas yra reliatyvus ir nėra absoliučios rimties būsenos. Niutono klasikinė mechanika yra jos atskiras atvejis esant santykinai nedideliems greičiams. Teoriją pirmąkart aprašė A. Einšteinas straipsnyje „Apie judančių kūnų elektrodinamiką“ (1905). Inertial movement Tačiau istorikai tebesiginčija dėl prioritetų ir atradimo nepriklausomumo, žr. >>>>>

Apie 1911 m. dauguma matematikų ir fizikų pripažino SRT. Buvo nurodytas esminis skirtumas tarp dinaminio Lorenco teorijos pobūdžio ir kinetinio Einšteino teorijos pobūdžio ir pavadinimas „Lorenco-Einšteino teorija“ liautas naudoti. Tik keli teoretikai (Lorencas, Abrahamas1), Puankarė, Langevinas2) ) vis dar tebetikėjo eterio buvimu. Kita svarbia SRT pripažinimo priežastimi buvo Minkovskio erdvėlaikio formalizmo išplėtimas 1910-13 m. Po 1915 m., A. Einšteinui suformulavus bendrąją reliatyvumo teoriją, jis pradėjo naudoti terminą „specialioji reliatyvumo teorija“, kad atskirtų tas dvi teorijas.

Teorija buvo pavadinta „specialiąja“, nes pradžioje reliatyvumo principas tebuvo taikomas tik atskiram inercinių sistemų atvejui, būtent tolydiems judėjimas vienas kito atžvilgiu. A. Einšteinas ją išplėtė bendresniam atvejui ir įtraukė gravitaciją – ir tas SRT apibendrinimas vadinamas bendrąja reliatyvumo teorija (BRT). Šiuo metu SRT terminas naudojamas bet kuriam judėjimo atvejui, kai nėra svarbi gravitacija. BRT atveju gravitacija aprašoma naudojantis neeuklidine geometrija ir gravitaciniai poveikiai perteikiami erdvėlaikio iškraipymais. Tuo tarpu SRT apsiriboja plokščiu erdvėlaikiu.

SRT teorijos pagrindinis teiginys – kiekvienam stebėtojui šviesos greitis vakuume yra vienodas visomis kryptimis ir nepriklauso nei nuo šaltinio, nei nuo stebėtojo judėjimo greičio. Iš to daroma išvada, kad kuo greičiau objektas juda, tuo lėčiau jam eina laikas, tuo objektas sunkesnis, o jo tiesiniai matmenys, nejudančio stebėtojo atžvilgiu, darosi mažesni. Kartu A. Einšteinas teigė, kad jokiais bandymais sistemos viduje negalima nustatyti skirtumo tarp rimties ir judėjimo iš inercijos būsenų.

SRT postulatai:

Susiję reiškiniai:

Kartu su objektu judančiam stebėtojui laikas slenka lėčiau (pvz., į žvaigždes dideliu greičiu išskridusio erdvėlaivio ekipažui atrodys, kad praėjo vos keli metai, o Žemėje likusiems - keliasdešimt. Tai vadinamasis „dvynių paradoksas“):
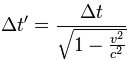
Time dilation formula

Jei objektas stebėtojo atžvilgiu juda inertiškoje sistemoje, jo ilgis stebėtojui atrodo trumpesnis:
Length contraction formula

Tarkime, kad pro stovinčius jus 60% šviesos greičiu pralekia 12 cm skersmens rutulys. Tada, matuojant kamuolio skriejimo kryptimi, jis jums atrodo esąs tik 9,6 cm ilgio – tad jis jums atrodo kiek suplotas iš galų. Kartu reikia atsižvelgti ir į kitus du aspektus:
- Jei imate bėgti greta kamuolio (t.y. (60% šviesos greičiu), tada jums rutulys atrodys apvalus, t.y. 12 cm ilgio;
- Jei greta kamuolio tokiu pat greičiu (60% šviesos greičio) bėga mergina, o jūs liekate stovėti, merginai matuojančiai jūsų laikomą liniuotė, tiek jūsų liniuotė, tiek jūs patys, atrodysite susitraukęs (nes jos požiūriu, jūs jos atžvilgiu judate 60% šviesos greičio.

Length contraction illustrationšviesos laikrodis

Laikas matuojamas viršuje dešinėje pavaizduotu šviesos laikrodžiu.
Laiko sulėtėjimas
Taigi, kadangi kiekvienas stebėtojas mato, kad šviesa nukeliavo skirtingą atstumą, kiekvienas jų matuoja skirtingą laiko intervalą: astronautas – t0 = 2D /c ; Žemės stebėtojas t0 = 2s /c
Iš čia ir dvynių paradoksas – iš kelionės į žvaigždes grįžęs brolis dvynys bus jaunesnis už visąlaik buvusį Žemėje.

SRT priklauso ne tik nuo šių dviejų aiškiai suformuluotų postulatų, bet ir kelių „savaime suprantamų“ prielaidų (kurių laikosi beveik visos fizikinės teorijos), tarp kurių yra erdvės izotropija bei homogeniškumas, bei matavimo liniuotės bei laikrodžių nepriklausymas nuo jų istorijos.

Ši teorija turėjo daug išvadų, kurios buvo eksperimentiškai patvirtintos, tame tarpe ir nevisai intuityvios: ilgio susitraukimas, laiko sulėtėjimas, vienalaikiškumo reliatyvumas (žr. greta esantį įskiepą). Derinant su kitais fizikos dėsniais, du SRT postulatai teigia apie masės ir energijos tvermę, išreiškiamą formule E=mc2, kur c yra šviesos greitis (taip pat skaitykite E=MC2 atsiradimas).

Vienalaikiškumo reliatyvumas. Du įvykiai, vykstantys pasirinktos koordinačių sistemos taškuose, yra vienalaikiai, jei vyksta tuo pačiu laiko momentu pagal tos sistemos laikrodį. Judančioje sistemos įvykiai, vykstantys skirtinguose taškuose, kurie nejudančioje sistemoje yra vienalaikiai, jau nėra vienalaikiai.

Iš specialiosios reliatyvumo teorijos, tarp kitų išvadų, seka masės ir energijos sąryšis, išreiškiamas garsiąja formule
E=mc2
Atvirkštinė formulė būtų:
m=E/c2

Tad, kai blyksteli blykstė, jos masė sumažėja, o saulės šviesą geriantis gėlės žiedas sunkėja. O kai skyla radioaktyvaus urano banduolys, likusių dalelių masė yra mažesnė nei pradinio branduolio, nes dalis jos išsibėgioja kaip šviesa, šiluma bei kinetinė energija. Pailiustruosime šią išvadą pora uždavinukų.

Pora susijusių uždavinėlių

1. Koks yra 1 g masės ekvivalentas energija?
c = 3 x 108 m/s
Tad E = 0,0001 kg x (3 x 108 m/s)2 = 9 x 1013 J

Pastaba: 1 joulis yra energijos kiekis, kuris sunaudojamas 1 niutono svoriui pakėlimui 1 m.

2. Kiek per dieną pasunkėja drugelis, visą dieną praleidęs saulėje?
Tarkim, kad diena trunka 10 val. (t.y. 36000 sek.), o drugelio sparnų plotas yra 10 cm2.
Energijos srautas iš Saulės yra 0,1 W/cm2, tad:
deltaE = 0,1 x 36000 x 10 = 36000 J
deltam = deltaE / c2 = 36000 / 9 x 1016 = 1,2 x 10-12 kg = 1,2 x 10-9 g.

[Platesnis šios temos išdėstymas bus kada nors vėliau -
o dabar pateiktas tik bendras supratimas, kad būtų geriau suprantami terminai].  

Pavojingas Einšteino teorijos paradoksas

Glazgo un-to mokslininkai nustatė SRT paradoksą, galintį sugriauti inercinių sistemų homogeniškumo principą ir tuo pačiu pakeisti fizikinį pasaulio vaizdą. Tai jie paskelbė „J. of Modern Optics“ 2017 m. rugsėjo numeryje (S.M. Barnett, M. Sonnleitner. Vacuum friction).

Laikoma, kad inercinėse sistemose su esančiais ramybėje ir judančiais objektais fizikos dėsniai pasireiškia vienodai. Tačiau atrodo, kad šis principas negalioja sužadintiems judantiems atomams. Mat atomai gali spondaniškai skleisti fotonus, tačiau šiems (kadangi jie veikia ne tik kaip dalelės, bet ir kaip bangos) galioja Doplerio efektas. Stebėtojas regi, kad fotonai nuo tolstančio atomo pasislinkę į raudonąją spektro dalį ir turi mažesnę energiją nei artėjančio atomo fotonai, kurie pasislinkę į ultravioletinę spektro dalį. Tuo tarpu esantis ramybėje atomas abiem atvejais savo impulsą keičia vienodai..

Tokiu būdu ramybėje esančio atomo vidutinis impulsas nesikeičia, o judančio – sumažėja. Atsiranda „trinties“ efektas, susijęs su spontanišku išspinduliavimu, ir atomas ima lėtėti. Kadangi ta jėga yra vienose inercinėse sistemose, o nėra kitose – pažeidžiamas jų homogeniškumo principas.

Mokslininkai pasiūlė ir sprendimą šiam paradoksui – atomas išleisdamas fotoną tampa lengvesnis, ir tada atomo greitis nesikeičia (pagal masės ir energijos tvermės dėsnį - jau senai kalbama, kad ir fotonas turi masę, kad ir labai mažą).


Laiko ir ilgio sutrumpėjimai: papildomas pavyzdys

Miuonai yra nestabilios el. dalelės, susidarančios, kai atmosferoje sugeriami iš Saulės atlėkę protonai. Kas sekundę maždaug vienas miuonas atsitrenkia 1 cm2 Žemės paviršiaus. Miuonai lekia kiek mažesniu už šviesos greitį – 0,99 c. Miuonas gyvuoja maždaug 2,2 ms
Įsivaizduokime, kad įvykį stebi du stebėtojai – vienas Žemėje, o kitas – tarsi Miunchauzenas apžergia gimusį miuoną ir „joja“ ant jo.

Įvykis prasideda miuono (anksčiau vadintais m-mezonais) atsiradimu ir baigiasi jo skilimu.
Stebėtojas žemėje juda įvykio atžvilgiu, tad jis matuoja ilgesnę jo trukmę: Dt = 5 x 10-5 s
Jis matuoja ir teisingą (didesnį) atstumą L0

Stebėtojas, „užsėdęs“ miuoną, matuoja tikrąją (trumpesnę) trukmę Dt0 = 2 x 10-6 s
Jis gi matuoja susitraukusį (trumpesnį) atstumą L.
Abu stebėtojai matuoja tą patį reliatyvųjį (santykinį) greitį.
Observer riding with the muon


SRT priešistorė

SRT istoriją sudaro daugelis teorinių rezultatų bei empirinių atradimų, kuriuos padarė H. Lorencas,  A. Michelsonas,  A. Puankarė ir kt. Kulminacija buvo A. Einšteino 1905 m. straipsnis „Apie judančių kūnų elektrodinamiką“. Vėliau ji vystyta M. Planko,  H. Minkovskio ir kt. darbuose.

Nors Izaokas Niutonas savo teoriją grindė absoliučios erdvės ir laiko principais, jis laikėsi Galilėjaus reliatyvumo principo, pagal kurį yra lygūs visi stebėtojai, nepriklausomai judantys vienas kito atžvilgiu, ir negalima nė vienam jų priskirti absoliučios judėjimo būsenos. 19 a. visuotinai pripažinta tapo eterio teorija, ypač Dž.K. Maksvelo pateikta forma – kad visi optiniai ir elektriniai reiškiniai plinta terpėje. Tad atsirado galimybė, kad galima apibrėžti absoliutų judėjimą eterio atžvilgiu ir taip paneigti Galilėjaus principą.

Tai, kad jokiais būdais nepavyko aptikti judėjimo per eterį, leido H. Lorencui 1982 m. paskelbti teoriją, kurios pagrindas yra nejudrus eteris bei Lorenco transformacija.

Remdamasis Lorenco eteriu, A. Puankarė 1905 m. pasiūlė Reliatyvumo principą kaip bendrą gamtos dėsnį, taikomą ir elektrodinamikai, ir gravitacijai. Tais pačiais metais Albertas Einšteinas paskelbė apie tai, kas dabar vadinama Specialiąja reliatyvumo teorija – radikaliai pertvarkydamas Lorenco elektrodinamiką Hendrik Lorentz pakeičiant erdvės ir laiko koncepciją ir atmetė eterį. Tai pagrindė kelią Bendrajai reliatyvumo teorijai. Vėlesni Hermano Minkovskio darbai padėjo pagrindus Reliatyvistinėms lauko teorijoms.

Po T. Jango (1804) ir A.-Dž. Fresnelio6) (1816) darbų buvo tikėta, kad šviesa sklinda kaip banga per elastingą terpę, kuri vadinta šviesolaidžiu eteriu. Tačiau buvo išskiriami optiniai ir elektrodinaminiai reiškiniai, todėl teko kiekvienam reiškiniui kurti atskirus eterio modelius. Vieningo modelio sukūrimas nepavyko, tačiau eilės mokslininkų (M. Faradėjaus,  lordo Kelvino,  Dž.K. Maksvelo) pastangomis buvo sukurta tvarkinga elektromagnetizmo teorija pateikiant formulių rinkinį elektros, magnetizmo ir indukcijos reiškiniams, kuris vadinamas Maksvelo lygtimis. Maksvelas pirmasis pasiūlė, kad šviesa iš tikro yra bangavimas toje pačioje eterio terpėje, kuri yra elektros ir magnetinių reiškinių priežasčių. Tačiau Maksvelo teorija buvo nepakankama judančių kūnų optikos srityje; ir jei jis sugebėjo parengti išsamų matematinį modelį, tačiau nepajėgė pateikti mechanistinio eterio aprašymo.

Kai H. Hercas3) 1887 m. įrodė, kad egzistuoja elektromagnetinės bangos, Maksvelo teorija buvo plačiai priimta. O. Heaviside ir H. Hercas išvystė tą teoriją ir pateikė modernesnę Maksvelo lygčių versiją. Jos tapo tolimesnio elektrodinamikos vystymo pagrindu, o O. Heaviside žymėjimai naudojami iki šiol.

Eterio paieškos

Dvi teorijos aptarė reliatyvų judėjimą ir materijos bei eterio tarpusavio sąveiką. Viena jų – Fresnelio (o vėliau Lorenco), sukūrusio Nejudraus eterio teoriją, pagal kurią šviesa sklinda kaip skersinė banga ir eteris iš dalies materijos patempiamas. Remdamasis šia prielaida, Fresnelis galėjo paaiškinti šviesos aberaciją ir daugelį optikos reiškinių. Iš kitos pusės 1845-ais G.G. Stockes tvirtino, kad eterį pilnai tempia materija (ir vėliau šį požiūrį parėmė Hercas). Šiame modelyje eteris galėjo būti (pagal analogiją su pušų derva) standus greitiems objektams ir takus lėtiems objektams. Tad Žemė per jį gali skrieti gana lengvai, tačiau jis standus šviesos pernešimui. Pirmenybė teigta Fresnelio teorijai, nes jos tempimo koeficientą patvirtino H. Fizeau4) eksperimentas 1851-ais (kai jis išmatavo šviesos greitį judančiuose skysčiuose).

A.A. Michelsonas (1881) pabandė interferometru išmatuoti reliatyvų žemės ir Eterio judėjimą (eterio vėją), kurį numatė Fresnelio teorija. Jis nesugebėjo nustatyti jokio reliatyvaus judėjimo, tad rezultatą jis priėmė kaip Stokes teiginio patvirtinimą. Tačiau Lorencas (1886) parodė, kad Michelsono paskaičiavimai buvo klaidingi ir kad jis pervertino matavimų tikslumą. Todėl to negalima daryti jokių išvadų. Taipogi Lorencas parodė, kad pagal Stokes pilnai tempiamas eteris veda į prieštaravimus. Siekdami vėl patikrinti Fresnelio teoriją, Michelsonas ir E. Morley (1886) pakartojo H. Fizeau eksperimentą, kuris labai tiksliai patvirtino Fresnelio tempimo koeficientą. Kitais metais jie pakartojo 1881-ųjų Michelsono eksperimentą, padidinę matavimų tikslumą, tačiau vėl gavo neigiamą rezultatą. Tad fizikai gavo du vienas kitam prieštaraujančius eksperimentų rezultatus.

Galimą problemos sprendimą parodė W. Voigtas (1887), tyręs Doplerio efektą bangoms, sklindančioms per nespūdžią elastingą terpę ir išvedė transformacinius ryšius, kuriems bangos lygtis tuščioje erdvėje nesikeičia, ir kurie paaiškina minėtą neigiamą rezultatą. Voigto transformacijos įtraukė Lorenco daugiklį 1 / sqrt(1-v2/c2) y ir z koordinatėms bei naują laiko koeficientą t‘=t- vx/c2, vėliau imtą vadinti „lokaliu laiku“. Tačiau Voigto darbus visiškai ignoravo jo amžininkai.

1889-ais Fitzgerald’as pasiūlė kitokį aiškinimą. Jis aiškino, kad tarpmolekulinės jėgos greičiausia yra elektrinės prigimties tad materialūs kūnai turėtų susitraukti judėjimo kryptimi (ilgio sutrumpėjimas). Tai turėjo sąryšį su Heaviside darbu (1887), nustačiusiu, kad judėdami elektrostatiniai laukai deformuojasi (Heaviside elipsoidas), kas reiškė fizikiniu požiūriu neapibrėžtas sąlygas judant šviesos greičiu. Tačiau Fitzgerald’o idėja nebuvo plačiai žinoma, kol jos apibendrino 1892-ais nepaskelbė O. Lodge7). Nepriklausomai ir Lorencas (1892) pasiūlė ilgio sutrumpėjimą sprendžiant Michelsono-Morley eksperimento problemą, tačiau jis tai nelaikė būtina priežastimi ir ilgio sutrumpėjimas teliko ad-hoc hipoteze.

Lorenco elektronų teorija

Lorencas 1892 m. padėjo pagrindus Lorenco eterio teorijai tarius, kad egzistuoja elektronai, kurie buvo atskirti nuo eterio, ir pakeitus Maksvelo-Herco lygtis Maksvelo-Lorenco lygtimis. Šiame modelyje eteris yra visiškai nejudantis ir, priešingai Fresnelio teorijai, nėra iš dalies tempiamas materijos. Svarbia to pasekme buvo tai, kad šviesos greitis yra visiškai nepriklausomas nuo jos šaltinio judėjimo greičio. Lorencas nepateikė teiginių apie eterio ir elektromagnetinių procesų mechaninę prigimtį, tačiau jis bandė mechanistinius procesus aiškinti elektromagnetiniais ir tam tikslui įvedė abstraktų elektromagnetinį eterį. Šios teorijos ribose jis, kaip ir Heaviside, paskaičiavo elektrostatinių laukų susitraukimą. 1895 m. Lorencas įvedė „Atitinkančių būsenų teoremą“ pirmojo v/c laipsnio terminams. Pagal šią teoremą (eterio atžvilgiu) judantis stebėtojas savo „menamame“ lauke stebi tą pat, kaip nejudantis stebėtojas „realiame“ lauke. Svarbia jos dalimi buvo lokalus laikas t‘=t-vx/c2 (tai padaryta nepriklausomai nuo Voigto). Šios koncepcijos dėka Lorencas galėjo paaiškinti šviesos aberaciją, Doplerio efektą bei I. Fizo eksperimentą. Tačiau Lorenco lokalusis laikas tėra papildoma matematinė priemonė, leidžianti supaprastinti transformaciją iš vienos sistemą – tik A. Puankarė 1900-ais nustatė, kad „lokalus laikas” yra nustatomas judančių laikrodžių. Lorencas taip pat nustatė, kad jo teorija pažeidžia veiksmo ir atoveiksmio principą, nes eteris veikia materiją, tačiau materija negali paveikti nejudraus eterio.

Labai panašų modelį sukūrė Joseph Larmor‘as (1897, 2000), Lorenco transformacijoms suteikęs algebrinę formą. Jis atkreipė dėmesį ne tik į ilgio susitraukimą, bet ir kažką panašaus į laiko pailgėjimą elektronų orbitoms. O kartu ir kiti fizikai bandė vystyti elektrodinamikos modelius. Pvz., Emil Cohn‘as (1900, 1901) sukūrė alternatyvią elektrodinamiką, kurioje atsisakė eterio (bent jau ankstesne forma) ir, kaip ir Ernst Mach‘as, atskaitos taškui naudojo fiksuotas žvaigždes. Dėl jo teorijos prieštaravimų (kaip kad skirtingų šviesos greičių skirtingomis kryptimis), ją pakeitė Lorenco ir Einšteino teorijos.

Elektromagnetinė masė

Vystydamas Maksvelo teoriją, J. Thomson'as pastebėjo (1881), kad įelektrintus kūnus sunkiau priversti judėti nei neįelektrintus. Elektrostatiniai laukai elgiasi taip, tarsi kūnams suteiktų papildomą „elektromagnetinę masę“. Taigi, J. Thomson'as spėjo, kad elektromagnetinė energija atitinka tam tikrą masę;m tai aiškinta kaip tam tikra elektromagnetinio lauko saviindukcija. Tuos tyrinėjimus pratęsė kiti fizikai, EM masę aprašę formule m=4/3 E /c2, kur m yra EM masė, o E EM energija. Be to, Heaviside ir G.F. Searle nustatė, kad masės padidėjimas nėra pastovus ir priklauso nuo greičio. Kaip pasekmę, Searle nurodė, kad negalimi už šviesą didesni greičiai, nes tokio greičio pasiekimui reiktų begalinės energijos. Lorencas pastebėjo, kad masė dar priklauso ir nuo krypties ir įtraukė tai, ką vėliau Abrahamas pavadino „išilgine“ ir „skersine“ (o ši vėliau – reliatyvistine mase) mase.

Toliau (1900) W. Wien‘as spėjo, kad visa masė yra EM kilmės, o Puankarė pastebėjo, kad EM energija elgiasi tarsi menamas skystis su mase susieta formule E=mc2, o taip pat apibrėžė menamą EM momentą. Tačiau jis susidūrė su spinduliavimo paradoksu, kurį pilnai 1905-ais paaiškino Einšteinas.

W. Kaufman‘as (1901-03) patvirtino greičio priklausomybę nuo EM masės, kai analizavo katodinių spindulių proporciją e/m (e yra krūvis, o m - masė). Jis nustatė, kad ta proporcija mažėja didėjant greičiui, taigi, elektrono masė didėja didėjant jo greičiui. Netrukus (1902-04) M. Abrahamas pasiūlė Kaufmano eksperimentų aiškinimą. Jis laikė, kad „elektromagnetinis momentas“ yra ne menamas, o reali fizikinė esybė.

Tada F. Hasenohrl‘as spėjo, kad kūno masė gali būti laikoma spinduliavimu aplink ertmę. „Regima“ spinduliavimo masė priklauso nuo temperatūros (nes kiekvienas įkaitęs kūnas spinduliuoja) ir yra proporcinga jo energijai. F. Hasenohrl‘as teigė, kad ji tebūna tik kol kūnas spinduliuoja, t.y. kūno temperatūra aukštesnė už 0o K.

Absoliuti erdvė ir masė

Kai kurie mokslininkai ėmė kritikuoti Niutono absoliučios erdvės ir laiko koncepciją. E. Mach‘as tvirtino, kad tai beprasmė sąvoka, nes prasmingas tiks reliatyvus judėjimas, nes net spartėjantis judėjimas (kaip sukimasis) gali būti susietas su fiksuotomis žvaigždėmis. C. Neumann įvedė „Kūno alfa“ sąvoką, perteikiančią tam tiktą kietą ir fiksuotą kūną, kad būtų apibrėžtas inertinis judėjimas. Ir t.t., kol 1902 m. A. Puankarė išleido filosofinį ir mokslo populiarinimo knygą „Mokslas ir Hipotezė“, kurioje filosofiškai apmąstė erdvės, laiko ir vienalaikiškumo reliatyvumo klausimus ir išsakė nuomonę, kad reliatyvumo principo pažeidimas negali būti aptiktas, o taip pat galimybę, kad eterio gali nebūti, nors kartu pateikė ir kai kuriuos argumentus eterio naudai, pateikė daug pastabų apie ne-euklidinę geometriją.

Buvo bandymų ir laiką panaudoti kaip 4-ąjį matavimą. Tai dar 1754 m. „Enciklopedijoje“ darė J. le Rond d‘Alembert'as, keli 19-o a. autoriai kaip kad H. Velsas „Laiko mašinoje“ (1895). 1901 m. M. Palagyi sukūrė filosofinį modelį, kuriame erdvė ir laikas buvo du vientiso erdvėlaikio aspektai.

Šviesos greičio pastovumas ir reliatyvaus judėjimo principas

Antroje 19 a. pusėje buvo keli bandymai sukurti pasaulinį laiko sinchronizavimo tinklą. Tuo pačiu buvo skleidžiama ir baigtinio šviesos greičio koncepcija (pirmąkart 1676 m. nustatyta danų astronomo Ole Rømer'io5) ). Pvz., A. Puankarė (1898) straipsnyje „Laiko matavimas“ paaiškino kai kurias šio klausimo pasekmes. Taip pat jis atkreipė dėmesį, kad tai leidžia nustatyti dviejų erdvėje atskirtų įvykių vienalaikiškumą.

Henri Poincare. Science and Hypothesis Kai kuriuose kituose savo straipsniuose A. Puankarė įrodinėjo, kad tokie kaip Michelson-Morley eksperimentai rodo, kad neįmanoma nustaryti absoliutų materijos judėjimą, t.y., judėjimą eterio atžvilgiu. Jis tai vadino „reliatyvaus judėjimo principu“. Kiek vėliau, jis nurodė, kad lokalų laiką galima išmatuoti laikrodžiais.

Taip pat ir A. Bucherer‘is (1903) tikėjo reliatyvumo principo teisingumu elektrodinamikos srityje, tačiau, priešingai Puankarė, netgi laikė, kad tai reiškia eterio negalimumą. Vis tik 1906 m. jo sukurta teorija buvo nekorektiška.

SRT atsiradimo metu šiek tiek populiari buvo V. Ritco idėja apie tai, kad neigiamą Michelsono bandymo rezultatą gali paaiškinti balistinė teorija, kurioje laikyta, kad kad šviesos greitį sudaro c ir šaltinio judėjimo greičių suma. Tai paneigė astrofiziniai stebėjimai – pvz., nepastebimi laukiami efektai stebint dvinares žvaigždes (šviesa nuo jų atskristų skirtingu greičiu, kas pateiktų keistą jų judėjimą). 1925 m. R.Tomašekas interferometro pagalba lygino interferencinius duomenis iš žemiškų bei nežemiškų šaltinių, tačiau neaptiko inteferencinių poslinkių. Vėliau panašūs bandymai buvo kartojami, pvz., 1956 m. matuotas šviesos greitis, atsklindantis iš skirtingų Saulės kraštų (M. Bonč-Bruevičius ir V. Molčanovas). Šviesos greičio nepriklausomybę nuo judėjimo parodo ir antžeminiai bandymai.

Lorenco 1904-ųjų modelis

Savo 1904 m. straipsnyje apie elektromagnetinius reiškinius sistemoje, judančioje už šviesą mažesniu greičiu, Lorencas sekė Puankarė pasiūlymu ir pabandė suformuluoti elektromechaniką, kuri paaiškintų visus nesėkmingus eksperimentus, t.y. reliatyvumo principo pagrįstumą. Jis pabandė įrodyti Lorenco transformacijos taikomumą visiems atvejams, nors iki galo jo tam nepavyko. Jis irgi tvirtino, kad tebeegzistuoja tik EM masė, o ne mechaninė masė – ir postulavo, kad Lorenco transformacija teisinga ir ne elektrinės kilmės jėga.

Tuo pat metu Wien nustatė svarbią masės priklausomybę nuo greičio. Jis įrodinėjo, kad greitis, didesnis už šviesos greitį, negalimas, nes tam reikėtų begalinio energijos kiekio.

Lorenco teoriją kritikavo M. Abrahamas, parodęs, kad teorija tenkina reliatyvumo principą, o iš kitos pusės ji teigia elektromagnetinę visų jėgų kilmę. Abraham‘as parodė, kad abu tvirtinimai yra nesuderinami. 1904 m. rugsėjį Puankarė paskaitoje parodė kai kurias Lorenco teorijos pasekmes. E. Cohn‘as (1904) tebevystė alternatyvų modelį ir pateikė kai kuriuos svarbius Lorenco transformacijų aiškinimus.

1905 m. birželio 5 d. A. Puankarė pateikė apibendrinimą, kuriame pašalino Lorenco teorijos spragas. Jis parodė, kad Lorenco elektrodinamikos lygtys nėra pilnai kovariantinės pagal Lorencą – ir jas pakoregavo, suteikdamas simetrinę formą, naudojamą ir dabar. Jis įvedė ne elektrinės prigimties rišiančią jėgą (vadinamą „Puankarė trauką“), kad užtikrintų elektronų stabilumą ir paaiškintų ilgio susitraukimą. Taip pat buvo pateikti invariantinis pagal Lorencą gravitacijos modelis. Vėliau Puankarė išbaigė šį straipsnį (vadinamą „Palermo straipsnį“), pateiktą spaudai liepos 23 d., o atspausdintą gruodžio 14 d., kuriame paskelbė „reliatyvumo postulatą“. Vis tik dauguma mokslo istorikų laiko, kad Puankarė nesukūrė to, kas vadinama specialiąja reliatyvumo teorija, nors pripažįstama, kad Puankarė darbe sutinkama daugelis Einšteino metodų bei terminijų.

Kieto kūno paradoksas

M. Bornas pabandė kietų kūnų koncepciją įtraukti į SRT. Tačiau Paulius Ehrenfestas parodė (1909), kad bandymas kietus kūnus įtraukti į SRT sukelia vadinamąjį Ehrenfesto paradoksą – kai besisukančio disko perimetras sumažėja, tačiau spindulys lieka tas pats. Tuo metu tą klausimą taip pat aptarinėjo G. Herglotz‘as, F. Noether‘is ir M. von Laue.
Sąryšyje su Ehrenfesto paradoksu, buvo diskutuojama (V. Varičakas ir kt.), ar ilgio sutrumpėjimas yra “realus” ar tik “atrodantis”, o taip pat ar yra skirtumas tarp Lorenco dinaminio susitraukimo ir kinetinio Einšteino susitraukimo. Tačiau iš tikro tai tebuvo žodžių karas, nes kaip nurodė Einšteinas, kinetinis ilgio sutrumpėjimas yra „atrodantis“ judančiam stebėtojui, tačiau esančiam ramybės būsenoje jis yra „tikras“, - ir tos pasekmės yra išmatuojamos.

Santykis su kitomis teorijomis

Gravitacija. Jai skirtas specialus SRT išplėtimas, leidžiantis erdvėlaikio iškreivinimą. Tačiau net SRT rėmuose dinamika gali įtraukti gravitacinę sąveiką, kol gravitacinio lauko potencialas gerokai mažesnis už c2. Tačiau visos Visatos masteliu SRT liaujasi veikusi ir ją rekia keisti bendrąja reliatyvumo teorija (BRT).

Klasikinė mechanika. SRT kertasi su kai kuriais jos aspektais; pvz., Erenfesto paradoksas (apie beveik šviesos greičiu besisukantį diską) rodo SRT nesuderinanumą su absoliučiai kieto kūno sąvoka. Dar, - net klasikinėje fizikoje laikoma, kad poveikis kietam kūnui sklinda garso greičiu, o ne begaliniu, kaip turėtų būti įsivaizduojamo absoliučiai kieto kūno atveju.

Kvantinė mechanika. SRT (skirtingai nuo BRT) visiškai suderinama su kvantine mechanika, o jų sinteze yra reliatyvistinė kvantinė lauko teorija (pvz., P. Dirako bangos lygtis). Tačiau abi teorijos visiškai nepriklausomos, todėl įmanoma sukurti tiek kvantinę mechaniką remiantis nereliatyvistiniu Galilėjo principu (pvz., Šriodingerio lygtis), tiek SRT teorijas, visiškai ignoruojančias kvantinius efektus. Vis tik tokie reiškiniai kaip sukinys negali būti aprašyti nepanaudojant reliatyvumo teorijos. Minėtas teorijas apjungti turėtų kuriama visuotinė teorija.


1) Maksas Abrahamas (Max Abraham, 1875-1922) - žydų kilmės vokiečių fizikas teoretikas. Pagrindiniai jo darbai skirti matematinei fizikai, elektrodinamikai, gravitacijos teorijai. Jis suteikė galutinę formą Maksvelo elektrodinamikai. Apie 1902 m. jis suformulavo hipotezę apie elektrono struktūrą – kaip kietą rutuliuką su tolygiai pasiskirsčiusiu krūviu. Ji konkuravo su Lorenco ir Einšteino modeliais. Įvedė elektroninio impulso sąvoką. Buvo tvirtai įsitikinęs eterio buvimu ir visą gyvenimą buvo nusiteikęs prieš reliatyvumo teoriją. Jo požiūris į pasaulį buvo labiau suderinamas su sveiku protu.
Jo hipotezė apie šviesos jėgos veikimą šiai pereinant per skaidrią terpę buvo atmesta priimant H. Minkovskio hipotezę. Tačiau neseniai atlikti eksperimentai leidžia spėti Abrahamo hipotezę buvus teisinga, nors dauguma to ir nepripažįsta.

2) Polis Langevinas (Paul Langevin, 1872-1946) - prancūzų fizikas, visuomenės veikėjas, sukūręs diamagnetizmo ir paramagnetizmo teorijas (tuos reiškinius aiškindamas elektrono sukiniu atomuose). Buvo aktyviu 1898 m. sukurtos Žmogaus teisių lygos dalyviu ir gyvenimo pabaigoje buvo jos prezidentu, o jaunystėje aktyviai dalyvavo Dreifuso gynyboje. Palaikė Spalio revoliuciją Rusijoje, užsiėmė antifašistine veikla. 1916 ir 1917 m. gavo du patentus už povandeninių laivų aptikimą ultragarso pagalba. Prancūzijoje propagavo reliatyvumo teoriją ir suformulavo dvynių paradoksą. Jo garbei pavadintas krateris nematomoje Mėnulio pusėje.

3) Heinrichas Rudolfas Hercas ( (Heinrich Rudolf Hertz, 1857-1894) – vokiečių fizikas, pirmasis gavęs elektromagnetines bangas, kurių egzistavimą buvo nuspėjęs Dž. Maksvelas. Jo tyrinėjimai parodė, kad šioms bangoms taikomi tie patys dėsniai, kaip ir šviesos bangoms – ir padėjo pagrindus radijo sukūrimui. Jis sukūrė savo elektrodinamikos teoriją, tačiau ji nebuvo patvirtinta eksperimentais ir užleido vietą H. Lorenco teorijai. 1886-87 m. pirmąkart stebėjo ir aprašė išorinio fotoefekto reiškinį. Mechanikoje tyrinėjo rutulių susidūrimus. Jo garbei 1930 m. pavadintas SI sistemos dažnio matavimo vienetas hercas.

4) Ipolitas Fizo (Armand Hippolyte Louis Fizeau, 1819-1896) - prancūzų fizikas, Paryžiaus MA narys, 1849 m. 5% tikslumu išmatavęs šviesos greitį. 1851 m. išmatavo šviesos greitį tekančiame vandenyje (Fizo eksperimentas). Pradžioje užsiėmė dagerotipija ir pirmuosius darbus paskelbė 1840-41 m., kuriuose nurodė, kad gerą kokybę galima pasiekti ir su trumpa ekspozicija. 1848  m. pirmasis nurodė poslinkį dangaus kūnų spektro linijose (Doplerio-Fizo principas). 1862 m. pradėjo bandymus su kietų kūnų plėtimosi koeficientais. Jo garbei pavadintas krateris Mėnulyje.

5) Olė Riomeris (Ole Christensen Rømer, 1644-1710) – danų astronomas, 1676 m. įrodęs, kad šviesa sklinda baigtiniu greičiu (anot jo, šviesa iš Saulės atkeliauja per 11 min.). Taip pat jis sukūrė šiuolaikinį termometrą, matuojantį temperatūrą tarp dviejų taškų – vandens užšalimo ir užvirimo. Įrengė observatoriją Kopenhagos un-te, sukūrė kelis astronominius prietaisus (ypač mikromerą, naudotą užtemimų stebėjimuose). Sukūrė nacionalinę matų ir svorių sistemą, įvestą 1683 m. prisidėjo prie Grigaliaus kalendoriaus įvedimo 1700-ais. 1705 m. paskirtas Kopenhagos burmistru ir pasiūlė mieste įrengti žibintus. Jo garbei pavadintas krateris Mėnulyje.

6) Ogustianas-Žanas Fresnelis (Augustin-Jean Fresnel, 1788-1827) – prancūzų fizikas, vienas iš banginės šviesos teorijos kūrėjų. Savo eksperimentais nepriklausomai atrado T. Jango stebėjimus apie interferenciją ir jiems suteikė fizikinį bei matematinį pagrindimą. 1818 m. sukūrė šviesos difrakcijos teoriją ir ja remiantis pasiūlė bangos suskilimo į (Fresknlio) zonas paskaičiavimą. 1823 m. nustatė šviesos poliarizacijos kitimo ją atspindint ir lūžtant dėsnius (Fresnelio formulės). Žinomas katadioptrinų lęšių (Fresnelio; tiek atspindinčių, tiek laužiančių šviesą) išradimu ir „laiptuotų“ lęšių panaudojimu, siekiant padidinti švyturių matomumą. Fresnelio lęšiai naudojami prožektoriuose, mašinų šviesose, švyturiuose, mikroskopuose ir teleskopuose, teleobjektyvuose ir pan.

7) Oliveris Lodžis (Oliver Joseph Lodge , 1851-1940) – anglų fizikas ir išradėjas, vienas išradėjų radijo ryšio srityje. Nepriklausomai nuo H. Herco atrado elektromagnetinį spinduliavimą. 1894 m. paskaitoje demonstravo radijo bangų perdavimą ir aptikimą su ankstyvuoju radijo imtuvu, jo vadintu „kohereriu“. Taip pat sukūrė elektrinė uždegimo žvakę. Jam priklauso reliatyvistinio ilgio sutrumpėjimo nuspėjimas. Buvo ir spiritualizmo pradininku, tyrusiu gyvenimą po mirties, buvusiu „Vaiduoklių klubo“ nariu – ir ta tema parašiusiu kelias knygas (tarp jų ir „Raimondas: Gyvenimas ir mirtis“, 1916).

Antigravitacija
Einšteino vieta pasaulyje
Bendroji reliatyvumo teorija
Juodųjų skylių portretas
Nepaprasti Visatos skaičiai
Mitas apie laiko pradžią
Pirmasis Einšteino įrodymas
Tėkmė: kas atvedė prie LHC?
3-iojo tūkstantmečio mokslas
Labai suderinta Visatos sandara
Mokslo riboženkliai: 1867-ieji – kartų kaita
Kvantinė mechanika: triumfas ar ribotumas?
Apie reliatyvumo teorijos prioriteto nustatymą
Empirinis teorinio gamtos pažinimo pagrindimas
N. Teslos tyrimų metodas ir pasaulėvaizdis
El. dalelių simetrija persmelkia viską
Nėra paprastos visuotinės teorijos!
Pulsarai ir dvinarės žvaigždės
Žaidimų teorijos panaudojimas
Matematikai: Anri Puankarė
Įvairiapusis Ričardas Feinmanas
A. Einšteino panteizmas
Lygiagrečios visatos
Torsioniniai laukai
Greičiau už šviesą!
Landau nuslopimas
Matematikos keliu
Topologija
Precesija
Vartiklis