Trikampiai skaičiai      

Trikampis taškas Tn - tai taškų skaičius, kuriuos galima sudėlioti į lygiakraštį trikampį, kurio kraštinę sudaro n taškų. Trikampiai skaičiai

Pirmieji trikampiai skaičiai yra: 1, 3, 6, 10, 15, 21, 28, 36, 45, 55, 66, 78, 91, 105, 120, 136, 153, 171,, ...

Iš tikro tai, Tn yra skaičių nuo 1 iki n suma, taigi

Tn = n (n+1) /2 arba Tn =

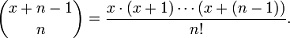
Tai reiškia, kad trikampis skaičius yra lygus skirtingų porų pasirinkimo iš n+1 objektų skaičiumi. Kitaip tariant, jis išsprendžia ir „rankų paspaudimo“ uždavinį (kiek kartų bus paspaustos ranka pasisveikinant su visais esančiais kambaryje, kuriame yra n+1 žmogus). Analogiškai, n įrenginių sujungimui tarpusavyje reikia Tn-1 kabelių.

Savybės

Trikampiai skaičiai pasižymi įdomiomis savybėmis, kurių pagrindines pristatysime šiame puslapyje. Jų yra ir daugiau, tačiau jos už šio puslapio apimties ribų.

1. Kiekvienas lyginis tobulasis skaičius yra trikampis.

2. Tn + Tn-1 = n2 = (Tn - Tn-1)2

Tai galima iliustruoti grafiškai:
Tobulasis trikampis

3. Ta+b = Ta + Tb + ab Tab = TaTb+Ta-1Tb-1

4. Kiekvienas sveikas teigiamas skaičius yra ne daugiau kaip 3-ių trikampių skaičių suma. Teiginį 1638 m. laiške Mersenui suformulavo P. Ferma, o 1796 m. įrodė K. Gausas. Tai atskiras Ferma poligoninių skaičių teoremos atvejis.

5. n-ojo trikampio skaičiaus kvadratas lygus skaičių nuo 1 iki n kubų sumai, t.y. (Tn)2 =

6. Dviejų trikampių skaičių skirtumas yra trapecinis skaičius.

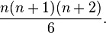
7. Pirmųjų k trikampių skaičių suma yra n-ais tetrahedrinis skaičius:

8. Bet kuris penkiakampis skaičius trečdalis trikampio skaičiaus: Pn = 1/3 T2n-1

9. Bet kuris trikampis skaičius arba dalijasi iš 3, arba dalybos iš 9 liekana yra 1:
6=3x2; 10 = 9x1+1; 15 = 3x5; 21 = 3x7; 28 = 9x3+1, …

10. Atvirkštinių trikampiams skaičiams suma yra lygi 2:

Papildomos ypatybės

Vieninteliais trikampiais skaičiais, kurie yra trijų iš eilės einančių skaičių sandauga, yra 6, 120, 210, 990, 185136, 258474216.

Yra begalinis skaičius trikampių skaičių, kurie yra skaičių kvadratais (1, 36, 1225, 41616, …). Tokius skaičius galima surasti iteracijos būdu: Sn = 34 Sn-1 - Sn-2 + 2, imant S0=0 ir S1=1

Didžiausias trikampis skaičius, kurio forma 2k - 1 yra 4095 (Ramanudžano-Nagelio lygtis).

W. Sierpinskis1) iškėlė klausimą, ar geometrinėje progresijoje gali egzistuoti 4-i skirtingi trikampiai skaičiai. Lenkas K. Szymiczek‘as2) suformulavo teiginį, kad negali. Jį 2007 m. įrodė kinai Fang‘as ir Čen‘as.

Netikėtai trikampiai skaičiai išnyra ir integraluose:

Analogiškai kvadratinei šakniai, skaičiui x galima apibrėžti trikampę šaknį, tokią, kad Tn = x Tada:

Iš čia seka, kad sveikasis skaičius m yra trikampiu skaičiumi tik tada, kai 8m+1 yra skaičiaus kvadratas.

Taikymai

T4 yra boulingo kėglių sustatymas, o T5 – biliardo rutulių sustatymas.

Turnyruose su n dalyvių ar komandų sužaidžiama Tn-1 tarpusavio mačų.

Vienas iš aktyvų (ilgalaikio turto) nusidėvėjimo paskaičiavimo būdų yra degresinis „metų sumos“ metodas, kuriame panaudojamas Tn-1 skaičiavimas, kur n yra nustatytas aktyvo naudojimo laikas. Kasmet aktyvo netekta vertė yra:

kur b - pradinė vertė, s - galutinė vertė, n aktyvaus gyvavimo trukmė, y - kelintiems metams skaičiuojame.

Apibendrinimas

Trikampiai skaičiai yra atskiras figūrinių skaičių atvejis.

Bet kuriam n-mačiui simpleksui su m ilgio kraštinėmis jo viršūnių skaičius lygus

Piramidiniai skaičiai (kvadratinis 30)

Piramidiniai skaičiai

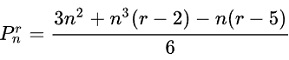
Piramidinis skaičius - figūrinis skaičius, leidžiantis sudaryti piramidę su daugiakampiu pagrindu ir trikampio formos šonais. Dažnai pagrindas yra kvadratu, kaip skaičiaus 30 atveju (16+9+4+1). O šešiakampiu piramidiniu skaičiumi yra, pvz., 50 (28+15+6+1).

Formulė n-ajam r-kampiui piramidiniam skaičiui yra:
Piramidiniai skaičiai


1) Vaclovas Sierpinskis (Waclaw Franciszek Sierpinski, 1882-1969) – lenkų matematikas. Tyrė aibių teorijos, skaičių teorijos, funkcijų teorijos bei topologijos klausimus. 50 knygų ir per 700 straipsnių autorius. 1919- 21 m. Lenkijos-Rusijos kare jis padėjo nulaužti sovietų šifrus.
Jo vardu vadinami trys populiarūs fraktalai, o taip Sierpinskio skaičiai ir su jais susijusi problema. Jo vardas suteiktas ir krateriui Mėnulyje.

2) Kazimieras Šimičekas (Kazimierz Szymiczek, 1939-2015) – lenkų matematikas, dirbęs skaičių teorijos ir algebrinėje kvadratinių formų teorijos srityse.

Ferma taškas
Gyvenimo gėlelė
Meilės sinusoidė
Dioklas ir jo cizoidė
Išmatuojam apskritimą
Surasta trilijonas trikampių
Pasaulį pakeitusios diagramos
Nepaprasti skaičiai: skaičius 42
Apie Tarskio skritulio kvadratinimą
Aukso gysla Ramanudžano lygtims
Kombinatorika, polinomai, tikimybės>
Fundamentaliosios matematikos teoremos
Mazgų teorija: juostos-nuopjovos teiginys
Naujos skaičių sistemos siekia atgauti pirminius skaičius
Klasikinės neišsprendžiamos geometrinės problemos
Trijų kūnų uždavinys aštuoniukėje
Proveržis skaičiuojant skaidinius
Rymano hipotezės paaiškinimas
Nepaprasti Visatos skaičiai: 8
Iniciatyva: Matematikos keliu
Revoliucija mazgų teorijoje
Parabolės lenktas likimas
Paslėpti erdvės matavimai
Pi keliai ir klystkeliai
Ar įrodytas abc teiginys?
Didžioji Ferma teorema
Dalyba iš nulio
Topologija
Vartiklis