Pirminiai dvyniai
Pirminiai dvyniai - pirminiai skaičiai, kurių skirtumas yra 2. Tai poros (3, 5), (5, 7), (11, 13), (17, 19), ... Mažesnis iš dvynių vadinamas Čeno pirminiu skaičiumi.
Manoma, kad pirminių dvynių yra begalinis skaičius, tačiau tai nėra įrodyta. 1849 m. šį pirminių dvynių teiginį apibendrino A. de Polignacas kad yra be galo daug pirminių skaičių besiskiriančių bet kokiu lyginiu skaičiumi. O griežtesne forma - Hardy-John Littlewood teiginys teigia apie pirminių dvynių pasiskirstymą.
1915 m. Viggo Brunas įrodė, kad atvirkštinių pirminių dvynių eilutė konverguoja (Bruno teorema):
![]()
Tai reiškia, jei pirminių dvynių ir begalinis skaičius, tai jie išsidėstę gana retai. B2 = 1,90216058... vadinama Bruno pirminių dvynių konstanta. Bruno teorema paskatino šiuolaikinės sieto teorijos išvystymą. Šiuolaikinę teoremos įrodymo versiją galima panaudoti parodant, kad už N mažesnių pirminių dvynių skaičius neviršija
CN/log2N, kurC>0yra tam tikra absoliutaus dydžio konstanta.1940 m. Paul Erdosas įrodė, kad yra konstanta
c < 1ir be galo daug pirminių skaičių p tokių, kad(p-p)<c ln p, kur p reiškia kitą po p einantį pirminį skaičių. 1986 m. Helmut Maieris parodė, kad galima naudoti konstantą c<0,25. 2004 m. D. Goldstonas ir C. Yildirimas patikslino ją iki c=0.085786... 2005 m. D. Goldston, J. Pintz ir C. Yildirim nustatė, kad bet kokį laisvai pasirinkto mažumo c.
![]()
Faktiškai, laikant esant teisingu Elliot-Halberstam teiginį arba nežymiai susilpnintą jo versiją, jie galėjo įrodyti, kad yra be galo daug n tokių, kad bent du skaičiai iš n, n+2, n+6, n+8, n+12, n+18, n+20 yra pirminiai. Griežtesnė hipotezė teigia, kad du pirminiai skaičiai yra tarp n, n+2, n=4, n+6, n+8.
Bet kurių pirminių dvynių forma yra (6n-1, 6n+1), kur n - tam tikras natūrinis skaičius. Išimtis tėra pora (3, 5). Be to, išskyrus
n=1, n paskutinis skaitmuo yra kuris nors iš šių: 0, 2, 3, 5, 7, 8. Visų pirminių dvynių poros moduliu 30 yra lygios (11, 13), (17, 19) arba (29, 31). Taip pat įrodyta, kad (m, m+2) yra pirminiai dvyniai tada ir tik tada, kai
4((m-1)!+1) º -m (mod m(m+2))Empirinė žinomų pirminių dvynių iki 4,35 * 1015 analizė rodo, kad jei tokių porų, mažesnių x, skaičius yra f(x) * x / (log x)2, tada f(x) yra apie 1,7 mažiems x ir nukrenta link 1,3, kai x artėja link begalybės. Teigiama, kad
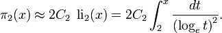
![]()
kas patvirtintų pirminių dvynių teiginį, tačiau lieka neįrodyta. Pirminių dvynių teiginys duotų geresnę aproksimaciją su pirminių skaičių paskaičiavimo funkcija
![]()
Polignaco teiginys
Kiekvienam natūriniam lyginiam yra be galo daug pirminių skaičių porų (p, p), tokių, kad p-p=k. k=2 atveju turime pirminių dvynių teiginį. Atveju k=4 turime pirminius pusbrolius, o k=6 seksualiuosius pirminius skaičius.
Teiginį 1849 m. suformulavo Alphonse de Polignac. Jis dar neįrodytas jokiam k.
Tačiau 2013 m. balandį iki tol nežinomas kinų kilmės matematikas Y. Zhangas pastelbė įrodymą, kad yra bent vienas lyginis skaičius k, mažesnis už 70 mln., toks, kuriam teisinga, kad yra begalinis pirminių skaičių, besiskiriančių k, porų kiekis. Iš esmės, tai silpnesnė Polignaco teiginio (teigiančio tai teisinga visiems lyginiams skaičiams) versija. Daugiau apie tai žr. >>>>>Netrukus buvo Polymath projekto rėmuose Zhango apribojimas jau po metų buvo sumažintas iki 246, o vėliau, pritaikius ElliottHalberstam teiginį, atitinkamai iki 12 ir 6. Tai atlikta naudojant jau paprastesnius ir kitokius, nei Zhango metodus.
Polignaco teiginio apibendrinimai:
- Dicksono teiginys yra apibendrinimas visiems pirminių skaičių spiečiams;
- Bateman-Horn teiginys apibūdina asimptotinius tankius.
W. Sawinas (Kolumbijos un.) ir M. Shustermanas (Viskonsino un.) 2019 m. rugsėjį įrodė ją atskiram atvejui: baigtiniam laukui (t.y., aibei iš baigtinio elementų skaičiaus (arba moduliu); kaip laikrodyje, kurio valandos nuo 1 iki 12 čia 3+3=6, tačiau 3+11=2). Buvo pasinaudota faktu, kad baigtinio lauko nariai, kaip ir įprasti skaičiai, sudaro daugianarius. Tai, kas teisinga sveikiems skaičiams, teisinga ir daugianariams (polinomams). Pirminis polinomas yra tas, kurio neįmanoma supaprastinti (pvz., x2+x+2 yra pirminis, tačiau x2 pirminiu nėra, nes gali būti išreikštas kaip (x+1)(x-1)). Daugianarius atitinka grafikai, tad pasinaudota geometrija. Tačiau net paprasčiausias baigtinis laukas turi begalinį kiekį polinomų. Ir čia jiems padėjo vienas pastebėtas triukas. Jie polinomų erdvę padalijo į dvi dalis: vienoje visi taškai atitinka polinomus su lyginiu daugiklių kiekiu, o kitoje su nelyginiu. Ir kadangi pirminiai daugianariai neturi daugiklių (tiksliau, turi tik vieną, save patį, t.y. 1), tai galime atmesti visus daugianarius su lyginiu daugiklių skaičiumi.
Tada jie pasinaudojo Mobiuso formule, kuri paima polinomą ir gražina: 1, jei tasai turi lyginį pirminių daugiklių skaičių; -1 jei nelyginį; ir 0 jei turi tik vieną pasikartojantį daugiklį, kaip 16, lygų 2x2x2x2). Mobiuso formulės kreivės įvairiausiai pinasi ir susisuka, daugialyje vietų susikirsdamos (susikirtimo taškai vadinami singuliarumais juos ypač sunku analizuoti; ir jie atitinka polinomus su pasikartojančiu pirminiu daugikliu).
W. Savinas ir M. Šustermanas esminė naujovė buvo rasti tikslų būdą supjaustyti žemesnių matavimų kilpas į trumpesnius segmentus, kuriuos lengviau tirti nei pačias kilpas. Tada (sunkiausia dalis) reikėjo nustatyti, kurie polinomai yra pirminiai tam panaudojo žinomas formules.
Ši matematikų technika leido nustatyti dvi išvadas baigtiniame lauke: a) pirminių dvynių skaičius yra begalinis; b) galima tiksliai pasakyti pirminių dvynių polinomų kiekį duotajam laipsniui; tai analogiška pirminių dvynių kiekiui bet kuriame pakankamai ilgame intervale.
Deja, vargu ar tokiu būdu pavyktų pačią pirminių skaičių begalinio skaičiaus hipotezę.
Pirmasis Hardy-Littlewood teiginys
Jis yra pirminių dvynių teiginio apibendrinimas, susijęs su pirminių skaičių spiečių (įskaitant pirminiius dvynius) pasiskirstymu, panašus į pirminių skaičių pasiskirstymo teoremą.
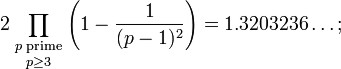
Tegu p2 žymi kiekį pirminių skaičių p <= x, tokių, kuriems p+2 irgi pirminis skaičius. Apibrėžkime pirminių dvynių konstantą C2 taip
![]()
Tai yra, ~ reiškia, kad abiejų išraiškų dalmuo artėja prie 1, kai n artėja į begalybę. Tada
![]()
Šį teiginį galima patikrinti (tačiau neįrodyti) laikant, kad
1/ln tapibrėžia pirminių skaičių pasiskirstymo funkciją šios prielaidos laikosi pirminių skaičių pasiskirstymo teorema.Teiginys yra apibendrintas bet kokiam skirtumui tarp pirminių skaičių.
Iš nežinios į šlovę
Netikėtą atradimą padarė visai matematikos srityje iki tol nežinotas vyriškis. Kadaise kinų kilmės Yitang Zhangas (g. 1955 m.) neturėjo darbo ir dirbo amerikiečių sumuštinių Subway užkandinėje. Net ir kai 1991 m. Purdue un-te apgynė daktaro laipsnį, - ir toliau ilgokai dirbo Subway tinkle apskaitininku.
O viskas nutiko taip jis nagrinėjo matematikų laikyta neišsprendžiama pirminių dvynių begalinio kiekio problemą. Sprendimą 2013 m. balandžio 17 d. pasiuntė Annals of Mathematics redakcijai. Ten iškart suprato, kad gavo genialų darbą, įrodantį pirminių skaičių pasiskirstymo teoremą, nors iki tol jis teturėjo tik vieną publikaciją. Simons Foundation atstovų nuomone, Zhango sprendimas skaidrus kaip krištolas.
Gimęs 1955 m. Šanchajuje, Yitang Zhangas negalėjo lankyti mokyklos ir matematikos pradėjo mokytis sulaukęs 11-os. Kelis metus dirbo laukuose ir fabrikuose, kol 1884-ais Pekino un-te gavo magistro laipsnį matematikos srityje. Tada persikėlė į JAV kur su rekomendacijomis gavo stipendiją Purdue un-te (JAV) ir po 7 m. 1911 m. gruodį apsigynė daktaro disertaciją. Tačiau jam nesisekė rasti akademinio darbo, tad dirbo apskaitininku ir netgi maisto išvežiotoju. Tik 1999 m. Naujojo Hampšyro un-te gavo dėstytojo darbą (2014 m. skirtas profesoriumi). Tik po savo straipsnio paskelbimo buvo apdovanotas daugeliu matematinių premijų: 2013 m. - Morningside ypatingų pasiekimų premija ir Ostrowskio premija; 2014 m. Frank Nelson Cole premija skaičių teorijos srityje, Rolf Schocko premija ir MacArthuro premija. 2014 m. išrinktas ir Taivanio Academia Sinica nariu.
Jis pateikė įrodymą, kad yra be galo daug pirminių skaičių porų, besiskiriančių 70 mln. ar mažesniu (lyginio skaičiaus) skirtumu. Griežtesnis (Polignaco) teiginys skelbia, kad tai teisinga kiekvienam lyginiam skaičiui (taigi ir 2).
Tai netruko patraukti dėmesį ir T. Tao netrukus tą įvertį (70 mln.) sumažino visa eile (mažiau nei 5 mln.) ir pasiūlė projektui Polymath bendrom jėgom optimizuoti tą įvertį. Jis sparčiai žemėjo ir 2014 m. po P. Nilsono iš Braigamo un-to darbo pasiekė 246 reikšmę.O dabar Zhang Yitang gali tapti įrodžiusiu Rymano hipotezę, jei bus patvirtintas jo 111 puslapio apimties įrodymas (arXiv patalpintas 2022 m. lapkričio 4-ą).
Įrodymas:
- Y. Zhang. Bounded gaps between primes// Annals of Mathematic 2014, v. 179, p. 11211174
Trejetai ir ketvertai
Jei m-4 arba m+6 taip pat yra pirminis skaičius, tada turime pirminį trejetą. Pirmieji pirminiai trejetai: (5, 7, 11), (7, 11, 13), (11, 13, 17), (13, 17, 19), (17, 19, 23), (37, 41, 43), (41 , 43, 47), (67, 71, 73), (97, 101, 103), ...
Kadangi kas trečias nelyginis skaičius yra dalus iš 3, trys iš eilės einantys nelyginiai skaičiai negali būti pirminiais, išskyrus (3, 5, 7).
Šiuo metu didžiausias žinomas tripletas (p, p+2, p+6) prasideda skaičiumi 2072644824759 × 233333 1, iš 10047 skaitmenų (2008 m. lapkritis, Norman Luhn, Fran?ois Morain, FastECPP).
Pirminių skaičių ketvertai, turintys pavidalą (p, p+2, p+6, p+8), vadinami dvigubais dvyniais arba pirminiais ketvertais. Pirmieji jų: (5, 7, 11, 13), (11, 13, 17, 19), (101, 103, 107, 109), (191, 193, 197, 199),...
Visi pirminiai ketvertai, išskyrus pirmąjį, moduliu 30, lygūs (11, 13, 17, 19). O moduliu 210, jų pavidalas yra vienas iš (11, 13, 17, 19); (101, 103, 107, 109); (191, 193, 197, 199).
Didžiausi žinomi pirminiai dvyniai
- 65516468355 * 2333333+-1 (100355 skaitmenys), 2009 m. rugpjūčio 6 d. PrimeGrid ir Twin Prime Search;
- 2003663613* 2195000+-1 (58711 skaitmuo), 2007 m. sausio 15 d. PrimeGrid ir Twin Prime Search; Eric Vautier (Prancūzija)
- 194772106074315* 2171960+-1 (51780 skaitmenų);
Čen pirminiai skaičiai
Pirminis skaičius p vadinamas Čen pirminiu skaičiumi, jei p+2 yra arba pirminis arba dviejų pirminių skaičių sandauga. Tada lyginiai skaičiai 2p+2 tenkina Čeno teoremą.
Šie skaičiai pavadinti Čen Džingruno, 1966 m. įrodžiusiam, kad tokių pirminių skaičių yra be galo daug, garbei. Tai sektų ir iš pirminių dvynių teiginio.
Pirmieji Čen pirminiai skaičiai yra: 2, 3, 5, 7, 11, 13, 17, 19, 23, 29, 31, 37, 41, 47, 53, 59, 67, 71, 83, 89, 101, ...
Rudolfas Ondreika sudėliojo tokį magišką 3x3 kvadratą iš Čen pirminių skaičių:
17 89 71 113 59 5 47 29 101 Čenas įrodė ir tokį apibendrinimą: kiekvienam lyginiams h egzistuoja be galo daug pirminių skaičių p, tokių, kad p+h yra arba pirminis, arba pusiau pirminis.
Pirminiai skaičiai
Beal'o hipotezė
Aritmetikos pagrindai
Didžioji Ferma teorema
Ar įrodytas abc teiginys?
Nauja pirminių skaičių klasė
Nepaprasti Visatos skaičiai: 8
Skaičiai apžvalga/ pradmenys
Rymano hipotezės paaiškinimas
Proveržis skaičiuojant skaidinius
Pagrindinė aritmetikos teorema
Nepaprasti skaičiai: skaičius 42
Littlewood teiginys apie aproksimaciją
Fundamentaliosios matematikos teoremos
B. Raselas. Matematiko košmariškas sapnas
Kaip išgyventi aukštesnius matavimus?
Naujas pirminių skaičių dėsningumas
Omaras Chajamas: ne vien Rubijatai
Alef paslaptis: begalybės paieškos
Kai kurios pirminių skaičių formos
Pagrindinės algebrinės struktūros
A. Puankarė. Mokslas ir hipotezė
Matematikai: Davidas Hilbertas
Iniciatyva: Matematikos keliu
Didžiausias bendras daliklis
Skaičių simbolika Vedose
Euklidas iš Aleksandrijos
Santykis ir proporcija
Kokiu greičiu skriejame?
Pitagoro teorema
Algebros istorija
Dalyba iš nulio
Vartiklis