Visatos gyvenimas ir mirtis

Didysis sprogimas  

Pirmiausia paskaitykite: Nuo šičia link begalybės

Kas sprogo?

Kartą, dailininkas paišęs P. Diraką, kad nuimtų stresą prieš seansą, ėmė klausinėti apie jo darbus mokslininką, žinomą savo nekalbumu:
- Profesoriau, ar negalėtumėte paprastais žodžiais, suprantamais nespecialistui, paaiškinti, ties kuo dabar dirbate?
- Ties Visatos atsiradimu.
- Oho! O galima nuodugniau?
- Visata atsirado per Didįjį sprogimą. Kalbos apie jos amžinumą – niekai.
- Tačiau kažkas iki tol vis viena egzistavo, jei tai sprogo?
- Tai beprasmis klausimas!

"Didžiojo sprogimo" teorija laiko, kad Visata kilo iš vienintelio begalinio tankumo taško. Ši teorija buvo numanoma Alberto Einšteino lygčių sprendime, kurį 1922-ais atliko Aleksandras Fridmanas. 1927-ais Džordžas Lemetrė tas lygtis panaudojo kosmologinei teorijai vystyti. O „Didžiojo sprogimo“ sąvoką 1946-ais įvedė Džordžas Gamovas, kuris kartu su R.A. Alpheriu įžvelgė aukštą pradinę temperatūrą ir teoriją papildė el.dalelių sintezės ir foninio spinduliavimo teorijomis. Palyginti neseniai hipotezė buvo papildyta infliacijos teorija, aprašančia fizikinius reiškinius pirmosiomis Visatos gyvavimo akimirkomis. Tačiau pasekėjų turi ir vientisos būsenos teorija, teigianti nuolatinį virsmą ir Visatą, neturinčią pradžios ir pabaigos.

Infliacija leidžia spėti esant tam tikrus statistinius dėsningumus anizotropijoje. Kvantinės fliuktuacijos paprastai paveikia tik nedideles erdvės sritis, tačiau nepaprastas eksponentinis plėtimasis infliacijos laikotarpiu leidžia tas mažas sritis tapti stebimomis. šviesos kūgiai laike

Būsimi šviesos kūgiai tampa apskritimais danguje. Ankstyvieji įvykiai infliacijos metu sukuria didelius apskritimus (kaip apatinėje iliustracijoje). Vėlesni – jau mažesnius apskritimus, tačiau jų daugiau ir dangaus padengimas yra toks pat (viduryje). Net dar vėlesni įvykiai kuria dar smulkesnius apskritimus, kurie vėlgi padengia dangų (viršuje). Žr. animuotą GIF proceso iliustracijai.

Visų laikų visų įvykių poveikių struktūra yra vadinama „vienodu stiprumu visuose dažniuose“ ir ji dera su COBE duomenimis. Materija nuteka pikinių potencialų „šlaitais“ (raudonos dėmės COBE duomenyse) suformuodama tuštumas dabartiniame galaktikų pasiskirstyme, tuo tarpu slėniai tarp potencialų (mėlynos dėmės) yra sritys, kur susitelkia galaktikos (žr. apie Vietinę tuštumą).

Tad aptikus, kad stebima anizotropijos struktūra dera su infliacijos teorija, galime klausti, ar gravitacinės jėgos yra pakankamos sukurti stebimą Visatą. COBE nepajėgus aptikti tokių smulkių dėmių kaip galaktikų sankaupos ar net super-sankaupos, tačiau pasinaudojus „vienodu stiprumu visuose dažniuose“, galime ekstrapoliuoti COBE duomenis į mažesnius mastelius – ir tada pamatome, kas gravitacinės jėgos yra pakankamos, tačiau tik su sąlyga, kad neveikia kitos jėgos. Jei visa medžiaga visatoje sudaryta iš įprastinių cheminių elementų, tada prie perkombinavimą egzistavo labai efektyvios priešingos jėgos, nes laisvieji elektronai, dabar įkalinti atomuoseveikė labai efektyviai paskleidžiant kosminio fono fotonus. Tad gauname išvadą, kad didžioji medžiagos dalis Visatoje yra „tamsioji materija“, kuri nei spinduliuoja, nei sugeria, nei sklaido šviesą. O ir tolimųjų supernovų stebėjimai rodo, kad didesnį energijos tankį Visatoje sudaro vakuumo energija („tamsioji energija“), savo prigimtimi panaši į Einšteino kosmologinę konstantą, užtikrinančią Visatos plėtimąsi. Šias keistas išvadas paremia ir WMAP duomenys.
COBE ir Vienodo stiprumo visuose dažniuose modelis

Visata keistai kreivoka

Pora galaktikų pasiskirstymo Visatoje analizių, besiremiančių galaktikomis Sloano dangaus apžvalgoje, rodo, kad Visatoje nėra paritetinės simetrijos. Viena jų, atlikta Oliverio Filkokso (Oliver Philcox), aptiko 2,9 sigma pažeidimą, o kita, atlikta vadovaujant Zachary Slepiano (Zachary Slepian), nustatė dar didesnį, net 7,1 sigma, neatitikimą. Tai gali pakeisti supratimą apie pirmas akimirkas po Didžiojo sprogimo. Vis tik yra idėjų apie tai, kas galėjo sukelti tą asimetriją, tačiau pirmiausia reiktų patikrinti tas analizes imant platesnes Visatos sritis, ir net panaudoti naujus metodus.

Pradžioje Visata buvo tarsi skysta?!

Eksperimentai RHIC greitintuve (JAV) parodė, kad iškart po Didžiojo sprogimo Visata, priešingai nei manyta, buvo ne dujinė, o skysta. Kelios milijoninės sekundės dalys po jo ją sudarė keista substancija: kvarkų ir gliuonų plazma, kurios daugelis požymių rodo, kad ji visai neturėjo karštoms dujoms būdingų savybių. Šiandien kiek panašios sąlygos yra neutroninėse žvaigždėse.

RHIC greitintuve, pastatytame 2000 m., 4 km ilgio žiede aukso atomų pluoštai įgreitinami beveik iki šviesos greičio, o tada susiduria. Susidūrimo metu susidaro mikroskopinis ugnies kamuolys, kurio temperatūra apie 100 tūkst. kartų aukštesnė nei Saulės vidyje. Medžiagos tankis toks didelis, kad sprogimo metu susidaro apie 7500 laisvųjų kvarkų, kurių dauguma akimirksniu susiduria ir pažyra antrinių dalelių lietus tolstant nuo centro. Ugnies kamuolys teegzistuoja vos 10-23 sek.

Buvo pastebėta, kad kai kuriomis kryptimis dalelės labiau stabdomos nei kitomis. Būtent tas asimetrinis spinduliavimas ir rodo, kad buvo sukurta kvarkų ir gliuonų plazma. Tačiau ne visi mokslininkai sutinka su tokiomis išvadomis. Tačiau jei tai tikrai tokia plazma, tai rezultatai iš tikro netikėti. Toji „plazma“ yra 30-50 kartų tankesnė nei tikėtasi. Be to dalelės plazmoje juda bendrai ir jų judėjimą būtų galima aprašyti hidrodinamikos lygtimis. O tai reikštų, kad kvarkų ir gliuonų ryšiai nėra iki galo nutrūkę.

Erdvėlaikio kontinumas

Ši koncepcija susijusi su reliatyvumo teorija, kurioje laikas imamas kaip 4-asis išmatavimas. Ji pakeičia Niutono mechanikos modelį, kuriame laikas yra absoliutus ir nepriklausomas. Reliatyvumo teorijoje atstumas erdvėje DI yra veikiamas Fitzdžeraldo-Lorenco suspaudimo veiksnių, o laiko trukmė Dt - laiko ištempimo. Naujoji reikšmė Ds yra invariantinė. Ji su kitomis reikšmėmis susieta kvadratine lygtimi, įtraukiančia šviesos greitį, o Ds išreiškia metriką.

1908 m. Hermanas Minkovskis išreiškė mintį, kad erdvėlaikio kontinumas grindžiamas specialiąja reliatyvumo "geometrija" veikiant Lorenco transformacijoms. bendruoju atveju erdvėlaikio metrika yra sudėtingesnė ir atitinka iškreiptą erdvėlaikio vaizdą.

Reliatyvumo teorija

Ji panaikino absoliutų judesį Visatoje, kai viskas vyksta tik kitų reiškinių atžvilgiu. Ji atvedė mus į branduolinį amžių, nes leido geriau suprasti el. dalelių mikropasaulį. Joje išskiriamos dvi nepriklausomos kryptys - specialioji (1905, mikropasaulis) ir bendroji (1916, astrofizika) reliatyvumo teorijos.

Iš pradžių bendroji reliatyvumo teorija buvo sudėtingas matematinis modelis, - labiau tinkantis grynajai matematikai ir filosofijai, o ne fizikai. tačiau maždaug 1960-ais ji tapo svarbia fizikos ir astronomijos šaka. Jai įsigalėti labai padėjo nauja matematinė technika leidusi fizikines koncepcijas įzoliuoti nuo matematinių išraiškų sudėtingumo. Jos taikymus skatino ir nauji astronominiai reiškiniai: kvazarai (1963), pulsarai (1967), 2,7oK mikrobangė fono radiacija (1965) ir, tikėtina, „juodosios skylės“ (1971). Naujos didelio tikslumo eksperimentinės priemonės suteikė galimybę patikrinti ar bendroji reliatyvumo teorija atitinka stebimus gravitacijos reiškinius.

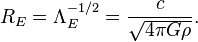
Einšteino Visata

Einšteino pasiūlyta visata yra Einšteino lauko lygčių sprendinys nustatant gravitacinę konstantą lygią
LE=4pGp/c2
kur G – Niutono gravitacinė konstanta, p – erdvės tankis, o c – šviesos greitis.

Erdvės kreivumas (Einšteino spindulys) yra lygus
Einšteino spindulio formulė

Einšteino visata yra Einšteino lauko lygčių vienas iš Fridmano sprendinių. Netrukus nustatyta, kad Einšteino visata yra nestabili ta prasme, kad nežymus kurio nario reikšmės pasikeitimas nulemia, kad Visata arba amžinai plečiasi greitėdama, arba vėl sukrenta į singuliarumą. Be to, tai tėra vienintelis stacionarus sprendinys iš visų, ir dėl savo stacionarumo daugumos laikomas nefizikiniu, nes stebimas raudonasis poslinkis rodo, kad Visata plečiasi.

Su laiku buvo pasiūlyta daug kitų reikšmių kosmologinei konstantai, o iki 1998 m. ypač populiaria buvo nulinė reikšmė. Ji nusako lėtėjantį Visatos plėtimąsi. Tačiau vėliau stebėjimai parodė, kad Visatos plėtimasis greitėja, tad nulinė reikšmė nėra tinkama tokiu atveju.

Alternatyvios kosmologinės teorijos

Robertas Dikas ir Karlas Bransas*) savo gravitacijos teorijoje leidžia keistis visuotinei gravitacijos konstantai. Ji paaiškina tuos Merkurijaus orbitos nuokrypius, kurie nepavaldūs bendrajai reliatyvumo teorijai. Dikas tvirtino, kad Saulė yra truputį (0,0001) suplotas rutulys, tačiau šio fakto Saulės stebėjimai nepatvirtino.

Kai kurie mokslininkai bando Visatos evoliuciją pagrįsti naudodami el. dalelių teorijas (ypač gausu tokių bandymų buvo 1970-90 m. laikotarpiu). Už pagrindą paėmę „didžiojo sprogimo“ teoriją jie bandė paaiškinti pirmųjų Visatos gyvavimo akimirkų procesus.

Pagal anglą Stefaną Hokingą materija turėjo tvertis ties „juodųjų skylių“ horizontu, t.y. tuo momentu, kai „raudonojo poslinkio" reikšmė tokia, kad šviesa negali pasiekti „stebėtojo“. Vėliau buvo įrodyta, kad kvantinės fliuktuacijos tuščioje de Sitter erdvėje galėjo sutverti virtualiąją Visatą su neigiama gravitacine jėga (kuri galėjo egzistuoti tik kelias sekundes, tačiau per vadinamąjį kvantinį tunelį išsiplėsti į dabartinės Visatos pavidalą.

Pagal šią teoriją visuotinė Visatos energija nebūtinai lygi nuliui - ji gali būti arba teigiama (atvira Visata) arba neigiama (uždara Visata). Tai daugelio matavimų Visata, kuri talpina daugelį 4-ių matavimų suberdvių, kurių kiekvienoje iš kvantinių fliuktuacijų gali būti sutverta atskira Visata. taigi teigiama begalinis kitų Visatų kiekis (kurių atrasti nėra jokių galimybių).

9-ojo dešimt. pradžioje Alanas Gutas sukuria „infliacijos“ teoriją, kuri taip pat kvantinių fliuktuacijų pagalba bando paaiškinti pirmųjų Visatos akimirkų reiškinius.

Tokios pastangos yra panašios į bandymus sugretinti kosmologiją su GUT (Grand Unification Theories), siekiančiomis visus materijos sąryšius aiškinti viena teorija. Tačiau pagal jas turėjo susikurti vadinamieji magnetiniai monopoliai, dėl kurių milžiniškos masės dabartinę Visatos būseną buvo galima pasiekti tik per 30 tūkst. metų.

Gutas savo teorija stengiasi panaikinti šį prieštaravimą. jis įvedė pereinamąsias fazes, kurių metu Visata savo pirmosiomis akimirkomis smarkiai atvėsdavo. Jo teorija leido paaiškinti gana didelį mūsų Visatos homogeniškumą (didelis Visatos plėtimosi greitis neleidžia susidaryti tokiam vienalytiškumo ir izotropijos laipsniui).

Dar vienas GUT suliejimo su kosmologija bandymas yra kosmoso „stygų“ (erdvėlaikio defektų, išlikusių nuo pirmųjų Visatos akimirkų) teorija. Stygos arba tęsiasi į begalybę arba susiraizgo į uždaras kreives. Vieno matavimo ir veikiamos milžiniškos tempimo jėgos jos gali tapti labai masyvios ir saugoti galaktikų informaciją (tarsi kokios kosminės DNR).

„Plazmos“ kosmologinė teorija (švedas Hannes Altvein'as) atsisako „Didžiojo sprogimo“ fakto. Plazma yra ta įelektrintų materijos dalelių būsena, kuri yra labiausiai paplitusi Visatoje. Jos dariniai gali tverti Visatą be pradžios ir galo.

Analizuojant JWST duomenis, Lior Shamir’as nustatė, kad iš tirtų 263 galaktikų, du trečdaliai sukasi palei laikrodžio rodyklę, o trečdalis – prieš. Neaišku, kodėl taip yra, tačiau yra galimi du aiškinimai. Vienas jų - kad Visata gimė besisukdama. Šis aiškinimas dera su tokiomis teorijomis, kaip juodųjų skylių kosmologija (pvz., „Švarcšildo kosmologija“), teigiančiomis , kad visa Visata randasi juodojoje skylėje, savo ruoštu besirandančioje kitoje visatoje.

Seniausia žvaigždė

Australijos nacionalinio un-to ir MIT mokslininkai 2014 m. pradžioje atrado 13,7 mlrd. m. senumo žvaigždę SM0313 ir aplenkė 2013 m. pradžioje atrastą HD 140283, kurios amžius „tik“ 13,2 mlrd. m. ji atsiradusi netrukus po Didžiojo sprogimo, įvykusio prieš 13,77 mlrd. m.
Abi žvaigždės yra gana arti Žemės – naujoji „vos“ už 6000 šviesmečių (HD 140283 – už 186 šv.m.). naujosios žvaigždės amžius nustatytas remiantis nepaprastai mažu geležies kiekiu. Kadangi Visatos jaunystėje susidarė tik lengvieji elementai (vandenilis, helis ir nežymus ličio kiekis), o kiti susidarė vėliau, pirmųjų žvaigždžių gelmėje. Atrastojoje žvaigždėje geležies 10 mln. kartų mažiau nei Saulėje ir yra ties matavimo paklaidos riba.
Anot mokslininkų, ši žvaigždė priklauso antrajai žvaigždžių kartai, susidariusiai iš pirmųjų susprogusių šviesulių materijos. Saurono akis

„Saurono akis“ žvelgia tiesiai į Žemę

Ryškus galaktikos branduolys su supermasyvia juodąja skyle spjauna plazmos čiurkšlę tiesiai į mus. Laimei, objektas PKS1424+240“ yra maždaug už 7,4 mlrd. švm. ir, greičiausiai, didelio pavojaus nekelia. Vis tik grupė astronomų jį pakrikštijo „Saurono akimi“ (iš J.R.R. Tolkieno „Žiedų valdovo“). Naujas jo vaizdas parodė ryškų karštą jo centrą su aplink besivejančiomis kosminėmis bangomis.

Iš tiesų tai blazaras**) (kaip ir kvazaras, tik nenukreipiantis išmetimų į mūsų planetą), skleidžiantis tiek gama spindulių ir neutrinų, kad laikomas intensyviausiu neutrinų šaltiniu. Tačiau jis turi ir lėtai judančių čiurkšlių, kas prieštarauja manymui, kad tik greitai judančios čiurkšlės sukuria ryškius objektus. Paaiškėjo, kad tai dėl „optinės iliuzijos“ – jos atrodo lėtos dėl projekcijos efektų. Be to astronomams pavyko atkurti ir kaip gali atrodyti blazaro čiurkšlės magnetinis laukas – spiralė arba toroidinis spurgas.


*) Karlas Bransas (Carl Henry Brans, g. 1935 m.) – amarikiečių matematinės fizikos atstovas, žinomas savo teoriniais gravitacijos tyrinėjimais, išsivysčiusiais į Branso-Diko teoriją, kurioje gravitacinė konstanta kinta laike. Ji yra pagrindine alternatyva Einšteino bendrajai reliatyvumo teorijai. Paskutinį 20 a. dešimtmetį padarė pažangą diferencialinėje topologijoje aiškindamasis egzotinių diferencialinių struktūrų egzistavimą ir jų galimą pritaikymą fizikoje. Su kitais pasiūlė, kad šios struktūros gali išspręsti kai kurias problemas kosmologijoje, pvz., tamsiosios materijos ir energijos klausimus („Egzotinis glotnumas ir fizika“, 2007).

**) Blazaras - aktyvus ryškus galaktikos branduolys (kvazaras) su į stebėtoją (iki 20% nuokrypiu) nukreipta jonizuotos materijos čiurkšle, dėl ko blazaras atrodo ryškesniu (nei kai čiurkšlė nukreipta kita kryptimi). Kaip ir visi kvazarai, blazaras susijęs su supermasyvia juodąja skyle - ir blazaro atveju jis yra milžiniškos elipsinės galaktikos branduolys. Pradžioje dažniausiai identifikuoti kaip nereguliarios kintančios žvaigždės. Pirmuoju nustatytas 3C 273 (1963).
Skirstomi į du potipius: lacertidus (su nuolatiniu spektru visuose EM diapazonuose; pavadinimą gavo nuo BL Lacertae) ir optiškai greitai kintančius kvazarus (su stipriomis emisijos linijomis optinėje spektro dalyje, o taip pat aktyvesni radijo diapazone; tipinis pavyzdys - 3C 279).

Saulės ateitis
Visatos modeliai
Kas tas laikas?
Tamsioji materija
Planeta su skyle
Visatos mechanika
Papildomas matavimas
Besiplečianti Visata
Trumpa laiko istorija
Pasikėsinimas į multivisatas
Kokia yra Visata? Sukasi?
Stabilios būsenos teorija
Visatos gyvenimas ir mirtis
Bendroji reliatyvumo teorija
Specialioji reliatyvumo teorija
Lemtingasis Rentgeno atradimas
Visatos topologija: pradžiamokslis
Ankstyvoji Visata ir ekzoplanetos
Erdvės ratilai: Visatos darinių kilmė
Kas padėjo tamsiosios materijos supratimui
Kaip vyko didysis perėjimas iš nieko į būtį?
"Didžiojo sprogimo" teorija ir viduramžių mistika
Savaime besiorganizuojantis kvantinis pasaulis
Greičiais C besiplečiančios–besitraukiančios erdvės B
Templierių kryžiaus danguje belaukiant
Astronomų užsipuolimas TSRS
Paslėpti erdvės matavimai
Raudonojo poslinkio kilmė
Kometos: dangaus ženklai
Pasaulio sukūrimo puslapis
Tėkmė: kas atvedė prie LHC?
Paralaksas: matavimai kosmose
Gyvenimas po mirties
Ginčas apie tuštumą
Kvantinis chaosas
Greičiau už šviesą!
NSO puslapis