Šiuolaikinė fizika – į tiesą panašus mitas?

Taip pat skaitykite Kvantinės mechanikos ribotumas?  

Kai 17-metis M. Plankas rengėsi stoti į Miuncheno un-tą, fizikos fakultetas (prof. F. fon Žoli) jo pasirinkimui nepritarė: „Fizika – žinojimo sritis, kurioje beveik viskas atrasta. Kažin ar verta ją rinktis“.

Dar garsusis Viljamas Tomsonas*) (1824-1907), stojęs ginti Keplerio (1571-1630) nuopelnų mokslui, pareiškė, kad fizikos padangėje visiškai giedra ir joje matyti tik du debesėliai: „netipiškas“ Michelsono ir Morlėjaus eksperimento rezultatas bei „katastrofa“ Relėjaus-Džinso dėsnyje**). Tik vėliau iš vieno debesėlio prapliupo reliatyvumo teorijos, o po ketvirčio amžiaus 1900-ųjų Planko prielaida, kad šviesa juda ne tolygiai (kaip banga), o šokčioja kvantais, leido išspręsti ir antrą lordo Kelvino nurodytą problemą – ir pasipylė kvantinės mechanikos liūtis!

Šiuolaikinės fizikos būklė

Įsivaizduokite, kad amžių pradžioje, buvo nuostabus žvilgantis brangakmenis. Jo tobula simetrija ir harmonija kaustė akį. Tačiau jis įtrūko ir suskilo į tūkstančius mažų gabaliukų. Tarkime, visi jie sukrito į plokščią dvimatį pasaulį vadinamą Plokštija, kurioje gyveno paslaptinga plokštiečių rasė. Plokštiečiai žavėjosi tų gabalėlių grožiu. Jų mokslininkai spėjo, kad jie atsirado iš neįsivaizduojamo grožio kristalo, kurį suskaldė Didysis sprogimas. Ir jie iškėlė uždavinį vėl iš naujo jį surinkti.

2000 m. jie dirbo, kol sulipdė du gabalus, kurių vieną pavadino „kvantine mechanika“, o kitą „reliatyvumo teorija“. Pusę amžiaus jie bandė juos sujungti, bet nesėkmingai. Tada keli maištingi jauni mokslininkai pasiūlė ereziją - gal tiedu gabalai susijungtų trimatėje erdvėje. Tai mokslo pasaulyje sukėlė ginčus. Mokslininkai nepasitikėjo niekad neregėta trimate erdve. „Kas neišmatuojama, neegzistuoja“, - skelbė jie.

Jaunieji mokslininkai nepasidavė ir grynosios matematikos priemonėmis įrodė, kad gabalai susijungia trimatėje erdvėje juos tinkamai pasukus. Tokia yra superstygų teorijos parabolė.

Dauguma mokslo filosofų (tarp jų, T. Kunas ir K. Poperis) pripažįsta, kad bet kurio atskiro reiškinio šiuolaikinio mokslo (tarkim, fizikos) duotas paaiškinimas negali būti absoliučiai teisingas, nėra vienareikšmis. Paimkim akmens kritimą. Niutono dėsniai, nors ir pakankamai tikslūs, iki galo nepaaiškina, kas vyksta, nes reikia panaudoti bendresnę Einšteino teoriją. Absoliučiai teisingas reiškinio aprašymas būtų panaudojus visos tikrovės vieningą teoriją, jei tik tokią teoriją būtų galima sukurti. O iki tol bet koks fizikinių reiškinių aprašymas liks tik galimu („galima ir taip paaiškinti“), priimtinu, panašiu į tiesą, tinkamą mūsų Magnet makes speed tikslams ir pan. Graikų kalba visus šiuos apibūdinimus galima išreikšti vienu žodžiu eikos. Ir čia pats laikas prisiminti, kad „Timėjuje“ Platonas savo samprotavimus apie suvokimą juslėmis, taigi, iš esmės, fiziką, pavadino eikos logos.

Įdomu tai, kad matematikoje reikalai, matyt, visai kitokie. Čia nereikalaujama sukurti vieningą visų matematinių objektų teoriją, kad su jos pagalba pamatytumėm tikrąją trikampio prasmę. Ir tegu Euklido erdvė tėra tik kokios nors bendresnės geometrijos atskiras atvejis – trikampio kampų suma lieka lygi 180o, o ir kitų plokštumos figūrų savybės išlieka tokiomis pačiomis.

Šiandien visuotinai pripažįstama, kad bet kuris mokslas yra besivystantis, kad jame vienu metu varžosi kelios teorijos arba viena jų keičia kitą1). Tad anot Poperio, bet kuri teorija tėra hipotezė, drąsus ant pasaulio užtemptas teiginys, laukiantis patvirtinimo arba paneigimo. Pripažinimas visada tik laikinas: „mokslas ydingas, nes žmogaus rankų kūrinys“. Todėl mokslo negalime vadinti žinojimu griežtąja šio žodžio prasme (episteme), kaip jį naudojo Platonas ir Aristotelis. Netgi galima sakyti, kad visos teorijos lygiavertės ir nė viena nėra geresnė už kitą. Tiesiog jų šalininkai į tą patį reiškinį tarytum žiūri kitomis akimis. Tad anot Tomo Kuno, naujos teorijos kelią į pripažinimą grindžia priešininkus „atversdamos į savo tikėjimą“ („mokslo revoliucijos“ metodas).

Platono kūrybos tyrinėtojas P. Frydlenderis pasakojo, kad sutikęs konferencijos žinomą fiziką, paklausė, ar tas sutinka su Platono teiginiu, kad jo mokslas yra mitas. Fizikas atsakė teigiamai, kas Frydlenderiui buvo visai netikėta ir tai paskatino jį parašyti straipsnį apie antikos ir šiuolaikinio mokslo panašumus2).

Nereikia manyti, kad „mitu“ (mythos) Platonas apibūdina išimtinai savo tradicines teogonijas primenančio pasakojimo formą ir fizika gali būti išdėstyta kažkokiu kitokiu būdu, nebūtinai mito, o, tarkim, nuoseklių silogizmų forma. Bet kokie tikslūs bebūtų silogizmai, jie mokslu (epistome) nepavers tai, kas juo nėra. Jie tik negriežtam dėstymui suteiks griežtą pavidalą, ir taip klaidindami. Kad tai neatsitiktų, kad forma neužtemdytų, o nušviestų dalyko esmę, Platonas ir renkasi tradicinio mito formą. Tačiau turime atminti, kad mitu pasireiškia ir tada, kai fantastinius Demiurgo, sakančio kalbas prieš dievų susirinkimą arba pasauliniame ąsotyje sumaišančio tapataus prigimtį su kitu, aprašymus keičia operacijos su skaičiais ir geometrinėmis figūromis arba gana natūralistiniai regėjimo kraujotakos ir kt. procesų aprašymai.

Platonas mitą aiškina kaip eikos logos - panašų, tikėtiną, o taip pat įtikimą pasakojimą3). Kaip fizika besistengtų, aiškina Platonas, ji negali išeiti už panašumo ribų ir pasiekti tiesos, nes dėsto eikos apie dalykus, egzistuojančius eikones (panašumų) būdu4) . Platono filosofijoje eikon ir eikasia įgavo ypatingą reikšmę. „Sakyti eikos“ reiškia kalbėti panašumais, kurti vaizdinius (ikonas), kaip daro dailininkai ir poetai. Pagal Platoną, fizika artimesnė menui nei mokslui5). Skirtingai nuo mokslų, apmąstančių tai, kas suvokiama protu, fizika tiria jutimų pasaulį. Tačiau jutimais suvokiamų dalykų negalime žinoti, juos galime atvaizduoti arba, geriausiu atveju, sukurti. „Valstybėje“ Platonas aiškina, kad menininkas atvaizduoja ne lovos idėją, o amatininko pagamintą lovą. Taip ir fizikas aprašo ne protu suvokiamą kosmosą, o jo regimą, Demiurgo sukurtą įsikūnijimą. Todėl fiziko samprotavimai, kaip ir dailininko paveikslai, savo esme „panašumų panašumai“ ir „šešėlių šešėliai“, esantys „trečioje vietoje... nuo Valdovo ir tiesos“. Jie yra ne proto ar samprotavimų produktai, kaip Platono išvardinti matematiniai mokslai, o pačia žemiausia dvasine „eikasia“ (panašumo) savybe, sugebėjimu kurti panašumus arba spėti apie pagal juos apie nuspėjamą dalyką6) .

Taigi žodžiu „mitas“ Platonas fizikos esminiu bruožu apibūdina gebėjimą ne aiškinti aplinkinį pasaulį, o jį aprašyti. Ką tai reiškia? Aiškindami reiškinį, mes išdėstome jo priežastis, t.y., bandom surasti kažkokį aukštesnio tikrovės lygmens esmę. Galiausiai esame priversti, kaip laikė neoplatonikai, įžengti į aukštesnio mokslo (metafizikos) ribas. Priešingai nei aiškinimas, aprašymas nepretenduoja nustatyti kokias nors priežastis ar pradus. Jis išverčia reiškinį į tam tikrą kalbą – matematiniais arba poetiniais simboliais ar spalvingais vaizdais. Tinkamas pavyzdys – astronomija Platono Akademijoje. Homocentrines Eudokso ir Kalipo sistemas dabar galėtume pavadinti matematiniais modeliais, nes 1) jie buvo grynai geometriniai dariniai; 2) kilo sprendžiant grynai geometrinį uždavinį, kurį, Simplicijaus liudijimu, suformulavo Platonas: reikia rasti paprasčiausių judėjimų apskritimu kombinacijų sistemą, kuri pakankamai tiksliai leistų nustatyti Saulės ir Mėnulio užtemimus, planetų judėjimo ypatybes, Mėnulio fazių kaitą ir pan. Argi sprendžiant šį uždavinį ką nors sužinome apie dangaus šviesulių prigimtį? Ar jo sprendinys vienintelis? Antikos astronomas – pirmiausia, geometras, kuris nesivadovauja jokiomis ne geometrinėmis prielaidomis. Todėl ir geometriniai modeliai buvo įvairiausi ir jie lengvai keitė vienas kitą, kai tik atsirasdavo naujų faktų ar naujų jų aprašymo metodų7).

Ar tai galioja ir šiuolaikinei fizikai? Dabar moksliniu laikomas reiškinio aiškinimas dėsniais. Tačiau bet kuris dėsnis – tos pačios teorijos dalis, o teorijos juk tik „drąsios hipotezės“, kurių skaičius neribotas. Kiekviena jų pateikia savus dėsnius ir savus reiškinių „aiškinimus“. Taigi ir dabar ne aiškiname, o aprašome pasaulį, t,y. turime jo „ikoną“. Atkreipkite į šios sąvokos imlumą. Platonui nėra reikalo vardinti daugybės fizikinių teorijų – jam pakanka pavadinti fiziką ikona, kad taptų aišku, kad pavyzdys, nuo kurio ji nupiešta, gali turėti kiek tik nori kitų atvaizdų-ikonų. Be to. „Timėjuje“ tiesiai pasakyta, kad joks samprotavimas apie suvokiamą jutimais, vadinasi ir paties Platono samprotavimas, negali būti nenuginčijamas ir pastovus, t.y. galutinis.

Susimąstykime – juk Platonas kažkokiu keistu būdu nuspėjo visus naujojo mokslo bruožus, labiausiai išryškėjančius būtent dabar. Kaip jam pavyko tai įžvelgti? Gal mes tik patys save apgaudinėjame, jo žodžius priimdami mums palankia linkme?


Ar mokslas privalo būti testuojamas?

Taip pat skaitykite Ar tai mokslas?
 

Bendroji reliatyvumo teorija yra patikimas mokslas; psichoanalizės „teorijos“, kaip ir marksistiniai skiedalai apie istorinių įvykių raidą, yra pseudomokslas – tokią išvadą prieš kelis dešimtmečius padarė K. Poperis, vienas įtakingiausių mokslo filosofų. Jis buvo susidomėjęs tuo, ką vadino „demarkacijos problema“, arba kaip nustatyti skirtumą tarp mokslo ir ne- mokslo, bei tam tikro mokslo ir pseudomokslo. Jis ilgai ir smarkiai galvojo apie tai ir pasiūlė paprastą kriterijų: paneigiamumas. Tam, kad tvirtinimas būtų laikoma moksliniu, turėtų būti galima parodyti, bent iš principo, kad jis yra klaidingas, jei yra iš tikro klaidingas.

K. Poperis buvo sužavėtas Einšteino teorijos, nes ji neseniai buvo įspūdingai patvirtinta per 1919 m. visišką Saulės užtemimą, tad pasiūlė ją kaip gero mokslo paradigminį pavyzdį. O štai kaip jis „Teiginiuose ir paneigimuose“ (1963) pateikia priešpastatymą jai:

Marksistinė istorijos teorija ... galiausiai perėmė pranašišką praktiką. Kai kuriose jo ankstyvesniose formuluotėse ... jų prognozės buvo galima patikrinti ir praktiškai paneigti. Tačiau užuot sutikę su paneigimais, Markso pasekėjai reinterpretavo tiek teoriją, tiek faktus, kad juos suderintų. Taip jie išgelbėjo teoriją nuo paneigimo... Tokiu būdu jie teorijai suteikė „konvencinį posūkį“; ir šia gudrybe jie sunaikino jos plačiai reklamuojamas pretenzijas į mokslinį statusą.

Testavimas

Kita vertus, K. Poperio didelė pagarba lemiamam 1919 m. eksperimentui galėjo būti pernelyg optimistinė: ankstyvesnėje Einšteino teorijoje iš tikro buvo įvelta matematinė klaida, dėl kurios spėjamas šviesos nuokrypis dėl didelių gravitacinių masių, tokių kaip Saulė buvo dukart didesnis. Ir jei teorija būtų tikrinama 1914 m., kaip buvo planuojama, ji (galimai) būtų paneigta. Dar daugiau, buvo rimtų klaidų 1919 m. stebėjimuose; ir vienas iškilių astronomų, atlikusių patikrinimą, A. Edingtonas galėjo kruopščiai parinkti duomenis taip, kad jie atrodytų kaip tikslus Einšteino teorijos patvirtinimas. Mokslas, kaip ir gyvenimas, yra komplikuotas.

Visa tai puiku, tačiau kodėl, kažkas, kas parašyta filosofo, nors ir iškilaus, praeito amžiaus pradžioje turėtų dominti dabar? Gerai, juk tikriausiai girdėjote apie stygų teoriją. Tai yra tai, kuo fundamentalių fizikų bendruomenė užsiėmusi kelis dešimtmečius, ieškodama to, ką Nobelio premijos laureatas Stivenas Veinbergas didingai pavadino „visa ko teorija“. Ji iš tikro nėra visa ko teorija ir faktiškai, techniškai, tai net ne teorija, net jei tuo vardu omenyje turima brandžios koncepcinės konstrukcijos, tokios, kaip evoliucijos teorija ar žemynų dreifavimo teorija. Faktiškai, stygų teorija yra geriau apibrėžiama kaip bendras „karkasas“ (framework) – labiausiai matematiškai sudėtingas šiuo metu – siekiant išspręsti esminę šiuolaikinės fizikos problemą: bendroji reliatyvumo teorija ir kvantinė mechanika yra labai nusisekusios teorijos, tačiau taikomos tam tikriems atvejams, kaip juodųjų skylių teorijai ar singuliarumo, davusio pradžią Visatai, teorijai, pateikia labai besiskiriančias prognozes.

Fizikai sutaria, kad tai reiškia, kad arba kuri nors teorija, ar abi, yra klaidingos arba nepilnos. Stygų teorija yra vienas iš bandymų jas suderinti abi įtraukiant į platesnį teorinį karkasą. Tik čia yra viena problema: kai vieni užtikrintai tvirtina, kad stygų teorija ne tik daug žadanti, bet ir nemažu laipsniu „vienintelis žaidimas mieste“, kiti nerūpestingai atrėžia, kad tai net ne mokslas, nes neturi kontakto su empiriniais įrodymais: vibruojančios superstygos, kartotinės, susuktos, erdvėlaikio matavimai ir kitos teorijos ypatybės, kurių negalima patikrinti eksperimentiškai ir jos tebėra metafizinių spekuliacijų matematiniu ekvivalentu. Ir metafizika nėra pagiriančiuoju žodžiu mokslininkų kalboje. Įdomu, kad nesiliaujanti, vis labiau vieša ir kandi kritika dažnai sutelkta aplink kažkokio Karlo Poperio idėjas. Tai kas iš tikro vyksta?

[ ... ] Kažkaip ironiška, kad mūsų laikais nemažai mokslininkų – ir ypač fizikų – neatrodo. Kad labai vertintų filosofiją. Kažkaip paskutiniais metais S. Hokingas paskelbė, kad filosofija negyva, o Lawrence Krauss'as pajuokavo, kad filosofija jam primena Woody Allen‘o anekdotą: „Kurie negali daryti, moko, o tie, kurie negali mokyti, moko fizkultūros“. Ir net mokslo populiarizatoriai Neil deGrasse Tyson‘as ir Bill Nye8) stebėjosi, kodėl jaunuoliai „švaisto“ laiką koledže studijuodamas filosofiją.

Tai gana nauja, bet ne visuotinė tendencija tarp fizikų. Tai skiriasi nuo to, ką 1944-ais A. Einšteinas rašė savo draugui R. Thorton‘ui9): „Visiškai sutinku su jumis dėl metodologijos, o taip pat mokslo istorijos ir filosofijos svarbos ir auklėjamosios vertės. Tiek daug žmonių šiandien – ir net profesionalių mokslininkų – man atrodo mačiusiais tūkstančius medžių, bet niekad nemačiusių miško. Istorinio ir filosofinio pagrindo žinojimas suteikią tą nepriklausomybę nuo savo kartos išankstinių nuostatų, kuriomis kenčia daugelis mokslininkų. Toji filosofinio supratimo sukurta nepriklausomybė yra, mano nuomone, skirtumo tarp paprasto amatininko ir specialisto bei tikro tiesos ieškotojo požymiu“. [ ... ] Vis tik dabar matomą fizikų bendruomenės dalis pasidalijusi [tuo požiūriu]. [ ... ]

Vis tik K. Poperio formulė apgaulingai paprasta, [ ... ] ją galima performuluoti į užrašą ant lipduko: „jei to neįmanoma paneigti, tai ne mokslas, ir tam neverta švaistyti pinigus ir laiką“. Tačiau gera filosofija nerašoma ant lipdukų. Beje, ir pats Poperis kai kuriais klausimais, susijusiais su patikrinimu ir demarkacija, ne kartą keitė nuomonę. Pvz., pradžioje jis atmetė bet kokį verifikacijos vaidmenį, laikydamas, kad labai lengva „verifikuoti“ sąvoką, jei bus aktyviai ieškoma patvirtinančių įrodymų. Šiuolaikiniai psichologai tam turi įvardijimą: teiginio išankstinė nuostata. Tačiau vėliau jis pripažino, kad verifikacija – ypač labai drąsių ir naujų prognozių – yra sveiko mokslinio darbo dalimi. [ ... ]

Be to, mokslines teorijas reikia verifikuoti ne vieną kartą ir skirtingomis sąlygomis, kol pakankamai įsitikinsime tikrinimo rezultatais. [ ... ]

Pradinis K. Poperio darbas iškėlė demarkacijos problemą ir paskatino filosofus vystyti filosofiškai pagrįstą pagrindimą to, kas yra mokslas ir kas nėra. Ir taip tęsėsi iki 1983 m., kai Larry Laudan‘as paskelbė straipsnį „Demarkacijos problemos pabaiga“, kuriame teigė, kad demarkaciniai projektai tėra tuščias laiko švaistymas, nes mažai tikėtina, kad kas nors suras nedidelės apimties būtinų ir pakankamų sąlygų rinkinius, apibūdinančių „mokslą“, „pseudomokslą“ ir pan. O be tokių rinkinių principinių skirtumų tarp jų paieška lieka beviltiškai Don Kichotiška. Iš tikro jis manė, kad Poperis bandė pateikti tikslius mokslo ir pseudomokslo apibrėžimus, tarsi elementariojoje geometrijoje. Tačiau tokios sąvokos kaip „mokslas“ ir „pseudomokslas“ sudėtingos, daugiabriaunės ir miglotos, neturinčios griežtų ribų. Tad ir dabartiniai fizikai panašiai skundžiasi, kad Poperio kriterijus yra per grubus instrumentas, ypač pažangiose fizikos srityse.

Vis tik Poperis nebuvo toks naivus, kokiu jį nori parodyti kritikai. Todėl nemažai autorių, kaip Maarten Boudry10), tvirtina, kad L. Laudan‘as per greitai atsiribojo nuo demarkacijos problemos, o socialiniai tinklai nėra geriausia vieta aptarti filosofinius klausimus. Ir yra kelių judėti pirmyn, jei būtų atsisakoma būtinų ir pakankamų sąlygų reikalavimo (kurio griežtai nesilaikė net pats Poperis). Kokia lieka alternatyva? Į mokslą, pseudomokslą ir pan. žiūrėti kaip Vitgenšteino „šeimyninį panašumą“. Tačiau Vitgenšteinas niekada nerašė apie mokslo filosofiją (o tuo labiau apie fundamentaliąją fiziką). Bet jis nurodė, kad yra daug sąvokų, kurias galime efektyviai naudoti, nors jų nepavyksta pateikti tikslaus apibrėžimo, kurio ieškojo Laudanas. Jo mėgstamu pavyzdžiu buvo apgaulingai paprasta „žaidimo“ koncepcija – kaip kažkam galima paaiškinti, kas yra žaidimas? Mes tik galime nustatyti ribas konkrečiam tikslui, o paskui tikriname, ar tos ribos iš tikro naudingos užsibrėžtiems tikslams. Tada klausimas, kur maždaug yra skirtumai.

Tada iškyla naujas klausimas: ar mes esame ties visiškai naujo mokslo slenksčio, ar būsimi istorikai nagrinės tai kaip laikiną mokslinio progreso stabdymą? Iš kitos pusės ar gali būti, kad fundamentalioji fizika prieina savo pabaigą ne todėl, kad viską išsiaiškinome, o todėl, kad pasiekėm savo smegenų ir technologijų ribas?

A. Klarkas savo tris dėsnius paskelbė 3-me „Ateities bruožai“ leidime (1973), nors pirmus du jau buvo paskelbęs 1962 m. Jis kukliai pareiškė, kad jei Niutonui pakako paskelbti tris dėsnius ir tuo baigti, tai ir jis nieko daugiau nepridės. Tačiau 1999 m. jis vis tik įtraukė ir 4-tą dėsnį: „Kiekvienam ekspertui atsiras ne mažiau autoritetingas su priešingu požiūriu“.

Pirmi trys dėsniai:

  1. Kai gerbiamas, tačiau pagyvenęs mokslininkas teigia, kad kažkas įmanoma, jis beveik garantuotai teisus. Kai ji steigia, kad kažkas neįmanoma, jis, greičiausiai, klysta.
  2. Vieninteliu būdu nustatyti įmanomo ribas – pabandyti truputį išeiti už tų ribų.
  3. Pakankamai išvystyta technologija neatskiriama nuo stebuklų.

Jau 21 a. pradžioje, komentuodamas 3-ią savo dėsnį, Klarkas prisipažino, kad jei kas nors jam 1962-ais būtų pasakęs, kad kada nors atsiras įrenginys tokio dydžio kai vidutinio dydžio knyga, kuriame tilps visos didelės bibliotekos knygos, jis nebūtų prieštaravęs. Tačiau, jei pašnekovas būtų pridūręs, kad tasai įrenginys leis per kelias sekundes surasti bet kurią citatą ir net bet kurį žodį jame patalpintose knygose, o dar bus galima keisti šrifto dydį ir vaizdą, jis būtų tai palaikęs per didele fantazija.

O Klarko dėsniai į literatūrą įliejo daugybę jų variantų ir išvadų. Pvz.,

  • Bet kuri technologija, kokia primityvi bebūtų, jos nesuprantantiems prilygsta magijai.
  • Bet kuris pakankamai toli į priekį pažengęs nežemiškas protas mums neatskiriamas nuo Dievo.
  • Mums antgamtiškai atrodantys reiškiniai iš tikro paaiškinami kol kas mums nežinomais gamtos dėsniais
  • Pastabos:

    *) Viljamas Tomsonas, baronas Kelvinas, (William Thomson, 1824-1907) – škotų fizikas (plačiau žr. >>>>>).
    Labai jauno amžiaus, baigęs Kembridžo un-tą, tapo Glazgovo un-to Gamtos mokslų profesoriumi, kur į mokymo procesą įnešė svarbių naujovių. Jis labai rūpinosi naujų instrumentų kūrimu, dalyvavo povandeninio transatlantinio telegrafo kabelio tarp Airijos ir Njufoundlando projekte, būdamas valdyos nariu ir konsultantu elektros teoriniais klausimais. Padėjo suformuluoti Antrąjį termodinamikos dėsnį. Jis aiškino, kad jei entropija nuolat didėja, tai galiausiai visoje Visatoje išsilygins temperatūra ir tai pavadino Visatos „šilumine mirtimi“. 1847 m. pareiškė, kad fizikoje jau nėra ką atrasti, o „teliko tik vis tikslesni matavimai”.

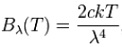
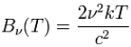
    **) Relėjaus-Džinso dėsnis bando klasikiniais terminais aprašyti absoliučiai juodo kūno atitinkamos temperatūros elektromagnetinio spinduliavimo spektrinį ryškumo spektrą visiems bangų ilgiams. Bangos ilgiui l jis yra:
    Relėjaus-Džinso dėsnis bangos ilgiui
    Kur c yra šviesos greitis, k - Bolcmano konstanta, o T – temperatūra Kelvino škalėje. Tuo tarpu dažniui v formulė yra:
    Relėjaus-Džinso dėsnis dažniui

    Pirmąkart l-4 priklausomybę 1900 m. pateikė britų lordas Relėjus (John William Strutt‘as, 3-iasis Rayleigh‘o baronas, 1842-1919), beje, atradęs ir argoną, už kurį 1904 m. gavo Nobelio premiją. Galutinę versiją 1905 m. išvedė Relėjus kartu su Dž. Džinsu (James Hopwood Jeans, 1877-1946).

    Relėjaus-Džinso dėsnis atitinka eksperimentinius duomenis ilgoms bangoms (mažiems dažniams), tačiau stipriai nuo jų skiriasi trumpoms bangoms (dideliams dažniams). Tas neatitikimas įgavo „ultravioletinės katastrofos“ pavadinimą.
    Dėsnio korekcija yra Planko dėsnis.

    1) Anot P. Fejerabendo, mokslas vystosi konkuruojant nesuderinamom teorijom, naudojančiom visiškai skirtingus metodus ir sąvokas. Mokslininko kūrybingumo pagrindu laikomas kuo didesnio kuo labiau neįprastų ir drąsių hipotezių skaičiaus iškėlimas. „Daryk, ką nori!” – vienintelis progresui neprieštaraujantis principas.
    Tuo tarpu T. Kunas laiko, kad mokslininkai „normalaus vystymosi“ laikotarpiu dirba vieningos „paradigmos“, apibrėžiamos fundamentaliųjų teorijų ir tyrimų metodų rinkiniu, rėmuose. Laikas nuo laiko paradigmos keičiasi, įvyksta vad. „mokslo revoliucija“, visiškai pakeičianti ankstesnį pažinimo lygį.
    Daugumą šiuolaikinių mokslo vystymosi koncepcijų galima suskirstyti į vad. „evoliucines“, kuriose alternatyvių teorijų varžymasis pateikiamas kaip rūšių kova dėl išgyvenimo (S. Tulminas), ir diskretines, neigiančias mokslo progreso nenutrūkstamumą (T. Kunas). Dar yra koncepcijų, apjungiančių tų dviejų kraštutinumus (L. Laudanas, I. Lakatos).

    2) žr. P. Friedlander. Structure and destruction of the atom according to Plato‘s Timaeus, 1949

    3) angl. likely account arba likely story. Vok. wahrscheinliche Rede.

    4) Panašiu būdu savo poemoje eikos panaudoja ir Parmenidas – kai Deivė, pabaigusi „tikrąjį žodį ir kalbą apie būtį“, imasi pasakoti apie kosmoso sandarą. Ji kreipiasi į jaunuolį (B 8 DK):
    „Skelbiu tau šią pasaulio sandarą labai tikėtiną,
    Ir tegu neapšoka tavęs mirtingųjų pasaulėžiūra
    “.

    Čia tikėtinas (eoikota) – galimas su kitais mirtingųjų požiūriais, tad negalutinai tikras, tačiau skirtingai nuo tų „panašus“, „tinkantis“ tiesai (kaip tinka gražūs aprėdai), t.y. pasaulio sandara gana padori, kad apie ją žmogui galėtų pasakoti Deivė. Parmenidas naudoja ir žodį „mitas“ (B 8 BK):
    „Lieka tik kelio mitas...“

    Įdomiausia, kad po šių žodžių prasideda garsusis tikrosios būties požymių vardijimas: „esatis nepagimdyta, nežūsianti, visuminė, vienarūšė, ... čia jos ne daugiau nei ten“ ir pan.

    5) Šį požiūrį palaiko Kornfordas, komentaruose “Timėjui” rašęs: „Poezija gali būti išmone, panašia į tiesą ir ne iki galo melaginga. ‚Timėjaus“ kosmologija yra poezija, atvaizdas, kuris, gali būti, tinka tiesos perdavimui labiau nei kitos kosmologijos.... ‚Timėjus‘ ne mažesniu, o gal ir didesniu laipsniu poma nei Lukrecijaus ‚De rerum natura‘“ F.M. Cornford. Plato‘s Cosmology. The Timaeus of Plato translated with a running commentary, 1937

    6) „Valstybės“ 6 kn. pabaigoje Platonas išvardija 4-is dvasios sugebėjimus, kurių dėka siela priima įvairius būties lygius. Pirmieji du – protas ir samprotavimas – nukreipti į suvokimą protaujant. Jų pagalba siela pažįsta, tiesa ne visad pakankamai aiškiai. Grynas protas be priemaišų (nous) yra dievų ir mažos žmonių saujelės nuosavybė ir panašus į žvilgsnį, akimirksniu aprėpiantį daiktą ir visas jo savybes. Tuo tarpu samprotavimas (dianoia) yra palaipsnis ėjimas nuo priežasties prie pasekmės, prie aiškesnio. Du paskutinieji – tikėjimas (pistis) ir panašumas (eikasia) nukreipia sielą prie suvokiamumo juslėmis. Jų dėka atsiranda nuomonės. Tarp jų nustatomos proporcijų santykiai: „Kaip pažinimas [t.y., protas] yra santykyje su tikėjimu, taip samprotavimas su panašumu“. Taigi, jei tikėjimas yra proto analogas, tai jis yra toks pat belaikis ir netikėtas, kaip ir intuicija. Jis atsiranka, kai mes, įsitikinę dalyko akivaizdumu, įtikim tuo, ką matom. Tikėjimą galime pavadinti akimirksniniu įsitikinimu. Tuo tarpu eikasia neįtikinėja niekuo, jam daiktai neturi aiškumo. Panašią būseną patiria žmogus, bandantis rūke įžvelgti kažkokius neaiškius kontūrus ir nuspėti, kas ten - medis? žmogus? gyvūnas? – perrenkamos galimi variantai, nežinant, ties kuriuo apsistoti. Eikasia ir samprotavimas vienodai dinamiški, tuo tarpu tikėjimas ir protas yra statiški. Fizika tampa tokio dvasinio sugebėjimo, kuris nuolat spėlioja pagal atvaizdą, tačiau niekada iki galo neatspėja, produktu.

    7) Eudokso mokinys Kalipas peržiūrėjo ir išplėtė savo mokytojo teoriją, prie jo 26-ių sferų pridėjęs savas 6-ias. Aristotelis, savo ruoštu, pasiūlė 55-ių sferų sistemą, tačiau peripatetikų mokykloje, matyt, buvo ir kitokių astronominių modelių.

    8) Bilas Najus (William Sanford Nye, g. 1955 m.) – amerikiečių mechanikas-inžinierius aeronautikoje, aktorius ir mokslo populiarizatorius televizijoje (ypač 1993-98 m.). Kas keli metai teikia paraišką NASA, kad taptų astronautu, tačiau ją vis atmeta. Nuo 2017 m. „Netflix“ leidžia serialą „Bill Nye gelbėja pasaulį“ (naujausias „Pabaiga yra Nye“ pasirodė 2022 m. rugpjūtį).

    9) Robertas Torntonas (Robert Ambrose Thornton, 1902-1982) – amerikiečių juodaodis fizikas ir muzikantas. 1921 m. Vašingtone sutiko A. Einšteiną, o 1944 m. paprašė jo pagalbos įvedant laisvųjų menų programą Puerto Riko un-te - ir jų susirašinėjimas tęsėsi iki 1953 m. Prieš mirtį paskelbė pokalbius ir laiškus su A. Einšteinu.

    10) Martenas Budris (Maarten Boudry, g. 1984 m.) – olandakalbis belgų filosofas, mokslo filosofijos atstovas ir skeptikas; Ghento un-to tyrinėtojas (nuo 2006 m.). Labiausiai žinomas savo skeptiniu požiūriu ir kritiniu požiūriu į pseudomokslą, kurį vadina „tikrojo mokslo imitacija“. Savo publikacijose taip pat kritikuoja religiją, „protingą projektą“ ir teologiją. Yra vienas „Het Denkgelag“, organizuojančios skeptikų konferencijas Flandrijoje, įkūrėjų.

    Ar tai mokslas?
    Karlas Poperis
    Kvantinis chaosas
    Ginčas apie tuštumą
    Trumpa laiko istorija
    Vieningo lauko teorija
    Manipuliacijos šviesa
    Telefonai: 5G pagreitis
    Atominio amžiaus vaikai
    Paslėpti erdvės matavimai
    Nuo Quanta prie Qualia
    Kvantinio pasaulio katinai
    21 a. mokslo idėjos ir švietimas
    P. Fejerabendas prieš mokslą
    3-iojo tūkstantmečio mokslas
    Ar visad tai paramokslinės idėjos?
    Dž. Bruno mirtis ir nemirtingumas
    Lemtingasis Rentgeno atradimas
    Kodėl chemikai nemėgsta J ir Q?
    Šriodingerio katė, kuri nenorėjo mirti
    Labai prasta balerina ir šuolis laike?
    1801 m. – prieš patekant naujai saulei
    Kanto refleksija niutoniškame moksle
    Artileristas, atradęs sustingusio laiko sferą
    Už ką Nobelio premijos negavo Virginijus Šikšnys
    Mokslo ribotumas: Dievas, Giodelis ir gravitacija
    Intuicijos ribojimas matematikoje 19-me amžiuje
    Kantoro aibių teorija ir tikrosios begalybės intuicija
    Betarpiško pažinimo problema 17 a. filosofijoje
    Savaime besiorganizuojantis kvantinis pasaulis
    Empirinis teorinio gamtos pažinimo pagrindimas
    Neišvengiamas mokslo ir religijos suartėjimas?
    A.F. Kochas. Tarp Rojaus ir Pragaro - Žemė
    El. dalelių simetrija persmelkia viską
    Kvantinė chemija – ateities mokslas?
    Neapibrėžtumas, tikimybė ir prognozė
    Pasaulis, kūnas ir ... velnias
    Žemės magnetinis laukas
    Objektyvizmas (Ayn Rand)
    Gyvenimas po mirties
    Senovės mechanika
    Garo tramdytojas
    Planeta su skyle
    Laiko dvelksmas
    Triukšmai
    Vartiklis